加法定理とは(1)
以下の加法定理を導く計算は覚えにくいかもしれません。
ベクトルの内積を学んだ人には、「加法定理はベクトルの内積の式」
の計算の方が、余弦定理を気にしないでも考えられる等で、分かり易いので、そちらを読んでみてください。
【cosの加法定理】
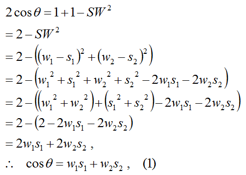
上図のように、半径が1の単位円上の2つの点WとSがあり、
その2つの点の偏角の差β-α=θの余弦cos(θ)を求める。
点Wの座標(w1,w2)と点Sの座標(s1,s2)とαとβとθの間には以下の関係があります。
(なお、上図の様に添え字を付けてあらわした座標記号を使い、点の名前WとSを引き継いだ記号であらわしてください。そうした方が、記号の意味の見通しが良くなるからです)
先ず、余弦定理を、以下の図と式で思い出します。
各座標をαとβの三角関数で置き換えると、
(式2)は、cosの加法定理です。
この形であらわしたcosの加法定理は、2項を足し算した公式なので覚え易いと思います。
(三角形の辺の二乗の引き算の公式を使った導出方法)
各座標をαとβの三角関数で置き換えると、
(cosの加法定理の導出おわり)
上のように、三角形の辺の二乗の引き算の公式を使ってcosの加法定理が導出できるのは、三角形の辺の二乗の引き算の公式と余弦定理が等価な公式であるからです。
等価な公式であるので、三角形の辺の二乗の引き算の公式を覚えていれば余弦定理を覚えないでも問題を解くのに支障がありません。
しかし、それでは寂しいので、以下のように、三角形の辺の二乗の引き算の公式から1行の式の変換で余弦定理を導出して余弦定理を思い出す習慣をつけましょう。
(これが余弦定理)
(cosの加法定理のもう1つの導出方法)
三角形の垂心の関係線分の長さは、以下の図の様に、三角比で表す長さのデパートになっています。
この三角比であらわす長さのデパートから、
以下の公式が成り立っていることが分かります。
cosA=sinBsinC-cosBcosC,
cosA=cos(π-B-C)
=-cos(B+C),
∴ cos(B+C)=cosBcosC-sinBsinC,
(cosの加法定理の導出おわり)
【sinの加法定理】
また、sinの加法定理は、上の式のcosをsinを用いた形に変えることで導けます。
sin((π/2)-(β-α))
=cosβ・cosα+sinβ・sinα
ここで、
(π/2)-β=γ
と置き換え、
β=(π/2)-γで書き換えます。
sin(γ+α)
=cos((π/2)-γ)・cosα
+sin((π/2)-γ)・sinα
sin(γ+α)=sin(γ)・cosα+cos(γ)・sinα
sin(γ+α)=sinγ・cosα+cosγ・sinα (式3)
(式3)は、sinの加法定理です。
この形であらわしたsinの加法定理は、2項を足し算した公式なので覚え易いと思います。
【sinの加法定理のその他の証明】
先ず、以下の三角形を考えて3辺の長さを各辺の正弦定理を使うと、加法定理が導き出されます。
この辺BCの長さaについては:
BC=2RsinA ,
でもある。
それによって、
sinA=sinC・cosB+sinB・cosC ,
が得られる。
そして:
sin(π-B-C)=sinC・cosB+sinB・cosC ,
sin(B+C)=sinC・cosB+sinB・cosC ,
(証明おわり)
リンク:
