三角形の辺の二乗の引き算の公式に係る問題


【問題】

 上の三角形ABCにおいて、次の等式を証明しなさい。

 

【解答】

(証明おわり)

 

(補足)

この問題は、以下の、三角形の2辺の二乗の差の公式に係る問題です。

【三角形の辺の二乗の引き算の公式】

(以上が、三角形の辺の二乗の引き算の公式)

 この三角形の辺の二乗の引き算の公式は、かなり多くの問題を解くのに役立つ万能の公式です。種々の問題を解く際に、この公式を使うよう試してみてください。

 

(第2の解答の方針)

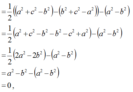
この等式の証明には、この等式の左辺から右辺を引き算した式を考えます。

この左辺が0になることが計算できれば、問題の等式が証明できます。

そのため、左辺をどんどん計算して、0になるまで続けるのが証明のコツです。


以下では、この問題の解答用紙には書かない、計算用紙に書く計算(自分が納得して計算する)の細部を書きます。

(計算にはリズムがあります。計算用紙に書く自分の計算では、計算のリズムを乱す難しい式の変換はしないで、少しづつ式を変形するのが計算のコツです。)

 

(解答:証明開始)

ここでcos(B)を(第2)余弦定理で変換します。

《cosBに着目して置き換える事が重要。(ca・cosB)のまとめ置きかえは変換の自由度が低いので覚える価値低》

ここでcos(A)を(第2)余弦定理で変換します。

《以下の計算は、以下の2行は暗算により省略可能》

《以下の2~3行は暗算により省略することも可能》

(証明おわり)


以上の計算で、式を変形するとき、カッコをたくさん使って計算するのがコツです。カッコをつけ忘れないよう注意して計算してください。


【別解】

以上とは異なる発想で、この等式を以下のようにして解くこともできます。

この式から、変数cを減らします。それは、以下の、第1余弦定理を利用します。

頂点Cから辺cに垂直に下ろした線で辺cを分割した各線分の長さは、

a・cos(B)とb・cos(A)です。

そのため、以下の式がなりたちます(第1余弦定理)。

c=a・cos(B)+b・cos(A)

この式を先の式に代入して変数cを減らします。

この式を変形します。

-(a・sin(B))2+(b・sin(A))2=0,

ここで、a・sin(B)も、b・sin(A)も、ともに、

頂点Cから辺cに垂直に下ろした線の長さをあらわしますので、両者は等しいです(正弦定理)。

a・sin(B)=b・sin(A),

そのため、

-(a・sin(B))2+(b・sin(A))2=0,

がなりたります。

(証明おわり)


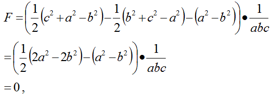
【更に別解】

 

を証明する。

この式の左辺をabcで割り算した式をFとする。

以下の2つの余弦定理を代入する。

 

これをFに代入すると、

(証明おわり)

 

リンク:

三角形の辺と角の等式をベクトルで証明

sinθとcosθの連立方程式で式からθを除去する方法
高校数学の目次