積分可能の定義と原始関数と不定積分の求め方
「微分・積分」の勉強
(ページ内リンク)
▽はじめに
▽積分とは何か(リーマン積分)
▽《区間という用語の意味》
▽一様連続性
▽不正確な情報から真実を見抜くコツ
▽(外部リンク)原始関数とは何か
▽(外部リンク)不定積分とは何か
▽微分積分学の基本定理
▽積分可能な例
▽必ずある間違い
▽広義積分
▽(外部リンク)置換積分等の積分の計算に潜んでいる広義積分
▽(外部リンク)変な積分
(はじめに)
高校数学では、「原始関数を求める」のが積分だと言われています。
しかし、大学で教わる微分積分も調べて、積分とは何かを
熟慮した結果、
積分とは「不定積分を求めること」(不定積分とは何かをハッキリさせなければなりませんが)である事である事が分かりました。
高校生は、ハッキリ教えられないでも、動物的な本能で、
「積分で求めるべき”原始関数”は1つながりに連続でなければならない」
という経験を積んで来たと思います。それは、実は原始関数の定義に初めから明示しなければならない条件だったというあいまいさが原始関数の定義にはありました。
また、求める目標の原始関数の目標を明確化すると、それは、原始関数に近い関係にある不定積分でした。
積分で正しい答えを求めるために探していたのは、不定積分だったのです。
(1)不定積分F(x)は、それを微分すると、有限個の微分不可能な点を除く大部分の点で、被積分関数f(x)が得られる関数の事です。
(2)不定積分は、(複合区間を定義域にする誤った原始関数とは違い)明確に1つながりに連続な関数である関数です。それは、複合区間を定義域にする原始関数の変数xの定義域を、F(x)が1つながりに連続になる範囲に限定する事で実現します。
(3)不定積分は、原始関数と違って、微分したとき、被積分関数f(x)の数点の関数値と一致しないでも良い関数です。大部分のxでf(x)と一致するだけで良いのです。
そういう不定積分を”原始関数”のつもりで求めるだけで良いのが積分の計算です。
以下では、その不定積分F(x)と、原始関数と、被積分関数f(x)との関係を見ていきましょう。
(微分積分を使いものにする言葉について)
数学者の小平邦彦「[軽装版]解析入門Ⅰ」では、微分積分を使いものになる道具にするため、数学の定理で連続関数を使うときに必ず使う形に整合させて連続関数を定義しています。すなわち、連続関数という言葉を、連結区間で1つながりに連続する関数と定義しています。
このページで使う「連続関数」という言葉は、高校数学で教わる誤った定義の連続関数では無く、大学で学ぶ正しい定義の連続関数(1つながりに連続な関数)をあらわします。
また、小平邦彦「[軽装版]解析入門Ⅰ」では、使いものにならなくなっている「不連続点」と言われている言葉を使わず、微分積分の概念の理解のために役立つ言葉で、連続点以外の点をあらわす「連続で無い点」という言葉を使っています。そのため、当ブログでも、小平邦彦「[軽装版]解析入門Ⅰ」に従って、「不連続点」という言葉は使わず、「連続で無い点」という言葉を使います。
(不連続点の当初の定義も、連続で無い点の定義と同じでした。藤原松三郎の「微分積分学 第1巻」によると、「f(x)がx=ξで連続でない場合に、x=ξをf(x)の不連続点という。」と定義されていました。)
なお、高校2年の微分積分の勉強のためには、「やさしく学べる微分積分」(石村園子)を読むと良いと思います。高校3年になって本格的に微分積分を学びたくなった学生は、学生が微分積分を無駄なく学べるよう工夫がこらされている本:小平邦彦「[軽装版]解析入門Ⅰ」を読むと、微分積分が無駄なく勉強できて良いと思います。
【積分とは何か】
以下では、先ず、積分とは何かを、積分可能のハッキリした定義を知ることで頭を整理しましょう。
積分については,ここをクリックした先のpdfファイルにある原教授の以下のコメントが大切です。
---(原教授のコメント開始)---------
積分については高校でも習ってはいるが,その基礎を突き詰めていくといろいろと困ったことがでてくる.
特に 「積分は微分の逆演算」として定義すると,「ある関数 f の積分を求めよ」という問題や「この関数の積分は定義できるか?」という問題でハタと困ってしまう.
(微分して f になるような関数がわからない場合,高校までの知識ではお手上げだ.)
この節では高校までの知識はいったん忘れて,「積分とは何か」「積分をどのように定義すべきか」か ら話を始める.
4.1 積分(定積分)の定義
ということで,まずやるべきは「与えられた関数f(x) に対して,その積分を定義すること」である.
これから見ていくように,かなり広いクラスの関数に対してその積分(定積分)を定義することができる.
定積分を通して不定積分も定義できるので,高校までの知識とのつながりがつくことになる.
・・・
積分の最も素朴な定義はこれから紹介する「リーマン和」に基づくもので、、、
---(原教授のコメントおわり)------
(積分の計算の基本)
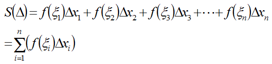
定義6.1(Riemann積分) 同志社大学 押目教授
閉区間[a, b]上において有界(有限な最大値と有限な最小値を持つ)な関数f(x)に対して、
以下のn+1個の有限個の小区間への分割の仕方、および、その小区間内の点ξi(i = 1, 2, . . . , n) の位置のとり方に関係なく、各点の関数値の和Sが一通りに定まる時,
f(x)は閉区間[a, b]において(Riemann)積分可能という.
(注意)無限大の数の小区間へ分割するのでは無いことに注意 。
以下のグラフのように、面積を分割して、分割した要素の総計を求めてグラフの面積を計算する手法が「積分」です。
この計算のための法則性を整理して覚えることが「積分」を勉強するということです。
《区間という用語の意味》
また、 「区間」という数学用語は、変数xの数直線上にある、実数がすき間なくつめられた1かたまりの実数の集合として定義されている事に注意が必要です。
a≦x≦bを満足するxの区間という表現は、a≦x≦bの範囲内の全ての実数xという意味です。
-∞<x<∞という区間もあります。
区間はxの値の範囲を限定するためのa≦x≦bという式とは意味が異なることに注意する必要があります。
区間a≦x≦bが命題の中に記載されている場合は、その範囲内の全ての実数xについて命題を検討する必要があります。被積分関数f(x)が定義されていない変数xの点があっても、その点も、その命題が検討されるべき点の1つです。
「区間」という用語は、特に重要な関数である連続関数の連続性を定義するために必要な、連続関数f(x)の変数xの集合体がいつも持っていなければならない連続性という重要な性質が「区間」という概念を用いてあらわされています。
すなわち、変数xの「区間」の性質で大切なのは、
「区間」のなかに変数xの値が隙間なく存在すること。
つまり所定範囲内での隙間が無い全ての実数の集合という概念が「区間」という用語で定義されています。
例えば:
f(x)=1/xの定義域を(0,∞) (={x|xは0より大きい実数})
とすれば、f(x)は区間で定義された関数です。
g(x)=1/xの定義域を(-∞,0)∪(0,∞)(={x|xは0でない実数})
とすれば、g(x)は区間で定義された関数ではありません。
(f(x)とg(x)は定義域が異なっているため、f(x)とg(x)は同じ関数ではありません)
(「リーマン積分可能」の定義)
「微分積分学入門」(横田 壽)の124ページから125ページ近くに「リーマン積分可能」の定義が書いてあります:(注:横田教授が芝浦工業大学を退官したため、この教科書を無料で掲載するWebページが無くなりました。この本は書店で購入できます。)
その他に、高校2年生が勉強するのに適切な、書店で購入できる微分積分の参考書の、「やさしく学べる微分積分」(石村園子)の104ページに「積分可能」の定義が書いてあります。
ここではドイツの数学者G.F.B. Riemann (1826-1917) によって示されたRiemann 積分につ いて学んでいきます.リーマン積分による「積分可能」の定義は、全ての種類の「積分可能」の定義の基礎になっています。
f(x) は閉区間[a, b] で定義されているとします.この閉区間[a, b] を次のような点xi(i = 1, 2, . . . , n) でn 個の小区間に分割します.
(a = x0 < x1 < x2 < · · · < xi < · · · < xn = b)
この分割をΔ で表わし, Δxi = xi − xi−1 (i = 1, 2, . . . , n) のうちで最も大きい値を|Δ| で 表わします.
(注目ポイント)
高校数学で教える区分求積法では、区間を細分した部分区間のグラフの高さf(x)を求めますが、そのxの位置が部分区間の中の特定の位置に固定されています。
その固定をしないで、どの位置のxでのf(x)を棒グラフの高さにして計算しても良い、
というのがリーマン積分です。
いま,それぞれの小区間[xi−1, xi] のなかの任意の位置に点ξi をとり,Riemann 和 (Riemann sum) とよばれる次の和を考えます.
このとき、
となる実数S が存在するならば,このS をf(x) の定積分(definite integral) といい, f(x) は閉区間[a, b] で積分可能(integrable) であるといいます.また,このS を次のように表わします.
つまり関数f(x) が閉区間[a, b] で積分可能であるということは,小区間への分割の仕方および小区間内の点ξi(i = 1, 2, . . . , n) の位置のとり方に関係なく、各点の関数値の和が一通りに定まるということです.
この定義に従い、関数の積分可能性を以下の様にして調べることができます。
先ず小さな閉区間[a, b] を定めて、
その閉区間の小区間への分割の仕方および小区間内の点ξi(i = 1, 2, . . . , n) の位置のとり方に関係なく、各点の関数値の和が一通りに定まる(積分可能)か否かを調べることができます。
(注意)
ここで、点ξiの位置のとり方に関係なく関数値の和が定まるためには、
少なくともその区間の全ての実数値に対して有限の値の関数値が存在しなければなりません。
それが、積分可能性の大前提です。
(リーマン積分の例1)
下図の左上、右上、左、の3つの各グラフを、x軸の0から値xまでリーマン積分してグラフの面積を計算すると、xの値毎の面積が、3つの場合で共通して右下のグラフになります。
(リーマン積分の例2)
以下の図の関数f(x)のグラフを考えます。
この関数f(x)の、
-1≦x≦3
の閉区間を小区間に細分した各小区間での関数の値の和が一通りに定まるので、リーマン積分可能です。
この関数f(x)を積分して、以下の図の不定積分の関数F(x)を求めることができます。
この様な積分の解は上図のグラフの不定積分F(x)であらわせます。
この関数F(x)は、x=0とx=2で微分不可能です。一方、原始関数は、定義域の連結区間内の全ての点で微分可能な関数です。そのため、その微分不可能な点x=0とx=2を定義域の連結区間内に含む関数は原始関数ではありません。この様な簡単なグラフの面積を求める問題であっても、変数xのあらゆる実数を定義域とする原始関数を使おうとすると、問題を解く事ができません。
しかし、不定積分の部分として、定義域を連結区間0<x<2に狭くした原始関数を不定積分の定義域の一部に組み込んで使う事ができます。
上の関数の例では、全実数の定義域の一部の0<x<2の範囲を定義域とするf(x)に対して原始関数F(x)が存在します。それを不定積分に組み込みます。また、定義域が2<xの範囲の原始関数F(x)が存在します。また、定義域がx<0の範囲の原始関数F(x)が存在します。その3つの原始関数を連続につないで不定積分を作れば良いのです。
【一様連続性】どの様な関数がリーマン積分可能であるか一様連続性
以上で説明したリーマン積分が、閉区間で連続な関数を例にして説明されるのは、その関数がリーマン積分可能だからです。
リーマン積分可能のキーワードは、一様連続性です。閉区間で連続な関数は一様連続です。すなわち、積分区間を均等に分割して分割数を多くすると、すべての分割部分の中での関数値のばらつきを一斉に小さくできる(これを一様連続と言う)。そのため閉区間で連続な関数は、分割数を多くして、一斉に、分割部分内の関数値のバラツキを小さくできるので、積分の値のバラツキを小さくでき、リーマン積分可能です。
(極限では無限大に発散する点に向けて連続している(開区間で)連続な関数は、その無限大に発散する点とは接続してはいませんが、その開区間の領域をいくら細かく分割しても、発散点の近くでは、未だ分割部分内の関数のバラツキが大きいです。そういうふうに、分割した区間内での関数の値のバラツキを一斉に小さくできない(一様連続で無い)関数は、積分可能にはなりません。)
(関数の値のバラツキが一斉に小さくなる説明)
f(x)が連結な閉区間a≦x≦bで1つながりに連続な関数であれば、閉区間で連続な関数の最大値・最小値の定理によって、f(x)の値はある最大値と最小値の間の値に限られている。
そのように、ある最大値と最小値の間の値に限られている、閉区間で連続な関数f(x)の領域を以下の図の様に2等分する。
(ただし、二等分とは言っても、分割された領域の境界点は、それぞれの領域が共有するように分割する。)
そして、分割された領域毎に、関数の最大値と最小値の差Δを考え、全分割領域での、差Δの最大値Δ2を抽出する。
関数f(x)が連続関数の場合は、その差の最大値Δ2は、分割前の領域での関数の最大値と最小値の差Δ1よりも小さくなる。
更に、各領域を2等分する。
(ただし、二等分とは言っても、分割された領域の境界点は、それぞれの領域が共有するように分割する。)
そして、分割された領域毎に、関数の最大値と最小値の差Δを考え、全分割領域での、差Δの最大値Δ3を抽出する。
関数f(x)が連続関数の場合は、その差の最大値Δ3は、分割前の領域での差の最大値Δ2よりも小さくなる。
更に、各領域を2等分する操作を繰り返し、
差の最大値Δ4、Δ5、Δ6・・・
を求めて行く。
すると、関数f(x)が連続関数の場合は、領域を分割する毎に、全分割領域での差の最大値Δnは無限に小さくなって行く。(これは、以下のようにして証明できる)
(仮説)
もし関数の最大値と最小値の差Δnが無限に小さくならないで、ある値β>0に留まるとする。
(仮説の検証)
その場合は、どんなに区間を分割しても、関数値のばらつきがβである微小区間が残り続ける。
ばらつきがβ未満の微小区間を分割してもばらつきがβである微小区間が生まれる事はないので、関数値のばらつきがβである微小区間は、関数値のばらつきがβである微小区間の分割によって生まれる。
すなわち、関数値のばらつきがβである微小区間が、それを無限に分割しても、関数値のばらつきがβであり続ける。その微小区間は点に収束し、その点の近くで関数値のばらつきが0に収束する事はない。
その場合は、その点で関数f(x)の連続の条件を満足しない。
これは、f(x)が連続である条件に反する。
ゆえに、この仮説が成り立たず、
関数の最大値と最小値の差Δnは無限に小さくなっていく。
(一様連続性)
以上の様に、ある関数f(x)の各分割領域を更に2分の1に分割する操作をn回繰り返していき、各分割領域の関数f(x)の最大値と最小値の差(関数の値のばらつき)Δを求める。
(1)そのとき、全ての分割領域での関数の値のばらつきΔの最大値Δnが有限の値で存在すること。
(2)この操作を繰り返して分割領域を無限に小さくすると、
全ての分割領域での関数の値のばらつきの最大値Δnが、無限に小さくなって行く。
(すなわち、全ての分割領域での関数の値のばらつきがΔnより小さく、そのΔnが無限に小さくなっていく)
これが成り立つ関数f(x)の性質を「一様連続」であると言います。
この説明は、以下の様に定義されている一様連続の言い換えです。
「どんなに小さな正の値εについても、全ての分割領域での関数の値のばらつきがε以下にできる、分割領域の小さな幅δ=(b-a)/(2^n)が存在するとき、その関数は一様連続である。」
(一様連続の説明おわり)
無限に小さい差Δnによる、関数f(x)の値の総和(リーマン積分)への影響は無限に小さい。そのため、この関数f(x)はリーマン積分可能である。
(バラツキが一斉に小さくなる説明おわり)
【不正確な情報から真実を見抜くコツ】
以下で説明するように、高校で教わる原始関数の定義は(大学での定義とは異なり)不正確なあいまいな定義です。
そのように、不正確な情報から真実を拾い出すコツがあります。それは、扱う関数を均質な基本的な要素に分割して、その分割された関数に不正確かもしれない情報を適用します。
具体的には、関数を、全て、1つながりに連続する関数に分割して考えます。その、1つながりに連続する関数を扱うのであれば、不正確な情報の公式を適用したとしても誤りに陥る事を防ぐことができます。
そのように、先ずは、1つながりに連続する関数毎に積分を調べれば良いのです。
例えば、下図の関数f(x)を考える場合:
x<-1での1つながりに連続する関数と、
-1<x<1での1つながりに連続する関数と、
1<x での1つながりに連続する関数を、
別々の3つの関数と考えれば良いのです。
そのように、関数全体を、均質な基本的な要素の関数に分割して、その基本要素だけに公式を適用すれば、不正確な壊れた道具の定理(例えば正しい原始関数の定義を使って証明した定理を作ってから、原始関数の定義を変えてしまって、その定理を適用するという使い方の定理)を使いこなすことができるようになります。
不正確な情報が与えられても正しい答えを出せるようになる事は、数学の極意を習得するという事でもあり、大事な数学的分析態度だと考えます。
【原始関数とは何か】(ここをクリック)
-----【原始関数の正しい定義】---------------
(原始関数の正しい定義は、1つながりに連続で、かつ、微分可能な関数F(x)をf(x)の原始関数と定義します)
すなわち、関数F(x)が、連結区間a<x<bのどの点でも連続、かつ、微分可能な関数であれば、F(x)を微分して導関数f(x)が求められる。この場合に、F(x)を関数f(x)の原始関数と言う。
(藤原松三郎の「微分積分学 第1巻」)
すなわち、原始関数は連結区間における連続関数であり1つながりのグラフであると定義されています。
-------原始関数の定義おわり-----------------
【不定積分とは何か】(ここをクリック)
(1)不定積分F(x)は、それを微分すると、有限個の微分不可能な点を除く大部分の点で、1つながりに連続した単位の被積分関数f(x)が得られる関数の事です。
(2)不定積分は、明確に1つながりに連続な関数です。
(3)不定積分は、原始関数と違って、微分したとき、被積分関数f(x)の数点の関数値と一致しないでも良い関数です。大部分のxでf(x)と一致するだけで良いのです。
【微分積分学の基本定理】
関数y=f(x)が、 連結区間a≦x≦b の全ての点で連続とする。 その条件が成り立つならば、必ず、
という計算をすることができる。(積分可能である)
そして、次のことが成り立つ。
(1)S(x)は、連結区間a<x<bで、
S'(x)=f(x)
になり、(正しい定義の)原始関数の1つである。
このS(x)の式はf(x)の不定積分の定義になっています。
上の式で積分して計算される不定積分S(x)は、定義域が、積分可能な範囲に限定されている結果、定義域が連結区間に限定されています。
そして、S(x)は、必ず、その定義域で1つながりに連続した関数になります。
(注意1)
以下の関数f(x)は関数の定義域内の全ての点で連続ですが、1つながりに連続な関数では無いので連続関数ではありません。
高校教科書の誤った連続関数の定義:「関数 f(x) が、定義域のすべての x の値で連続であるとき、 f(x) は連続関数である。」に従うと、これを連続関数とする誤りに陥ります。
この切れ切れのノコギリ状の関数f(x)を不定積分した関数F(x)を求めてみます。
ここで、関数値f(x)が定義されていないx=0.5の点等では、そのxの値の近傍までf(x)を積分して、その積分の極限値をx=0.5の点等での積分値に拡張する積分をしました。
この関数F(x)を微分すると、x=0.5, 1.5, 2.5等では、F(x)の微分係数が計算できません。
この関数F(x)は原始関数ではありません。
そうなる原因は、被積分関数f(x)が1つながりに連続では無いので連続関数では無かったから、(微分積分学の基本定理)の前提条件である、関数y=f(x)が、連結区間a≦x≦bの全ての点で連続である条件が成り立っていなかったからです。
(注意2)
また、連続点は数学の重要な概念であり、数学的に厳密に定義されています。不連続点という言葉は、その重要な連続点の定義に従属して、その反対の性質を持つ点として定義する必要があります。
しかし、「不連続点」の定義では、そうせず、たいした根拠も無く、上の例のように関数値が存在しない点は「不連続点」とは呼ばず、連続点の概念とは無関係な言葉として定義されています。
そのように定義した「不連続点」という概念によっては、xのある値x0でf(x0)が存在しないことで関数がx=x0で連続で無いという関数の不連続性が把握できなくなっています。
数学センスがある学生は、関数の連続点の否定を表すのではない「不連続点」という言葉は数学的に無意味で数学研究に役立たないと見抜き、「不連続点」という言葉は使わず別の言葉「連続で無い点」を自分で独自に定義して自分の研究に役立てると思います。
(注意3)
高校生は教科書から、誤った連続関数の定義:
「関数 f(x) が、定義域のすべての x の値で連続であるとき、 f(x) は連続関数である。」
を教わることで、
正しい定理:「連続関数を積分した式は、その式のグラフの全ての点で微分可能である(微分積分学の基本定理)」が、
その誤った連続関数の定義から導かれるこの反例によって否定されてしまうという問題に直面します。
高校生は、この反例により、「(連続関数に限定すれば)微分と積分が逆演算になる」という微分積分学の基本定理も否定され、積分が微分の逆演算になる根拠も分からなくなるという深刻な問題に直面します。
こういう問題に直面する高校生に心から同情します。
(注意1~3おわり)
微分積分学の基本定理によって、関数f(x)が連結区間のa≦x≦b上で1つながりに連続であるならば、
不定積分関数S(x)やF(x)が、f(x)のその範囲内の積分で計算する事で求められる事が保証されています。
そうして計算して得た不定積分F(x)を使って、
被積分関数f(x)が連続である範囲のa≦x≦bでの定積分を、
F(b)-F(a)で計算できる事が保証されています。
微分積分学の基本定理の登場により我々に注意が喚起されたメッセージは、
『関数f(x)の積分を計算しようとする場合には、その積分区間における関数の性質(連続である等)を調べなければならない』
というメッセージです。
不定積分を用いて定積分を計算する演算の際に、その定積分の積分区間における関数の性質を調べる事を欠かしてはならない、というメッセージです。
この大切なメッセージについては、日本の高校の積分の授業では、「積分する区間内の全ての変数値に対して関数値が定義されていなければならない」と教えられているようです。先ず、関数値が定義されている事は必要です。しかし、厳密に言うと、それだけでは積分可能の条件としては不十分です。
(積分可能な例1)
関数を積分する区間は、
a≦x≦b
というように、その積分の区間の両端が存在する区間で積分します。
すなわち、
a<x<b
というような、両端が存在しない区間では積分しません。
例えば、以下の図の、x=0で連続で無い関数f(x)は、その連続で無い点以外の変数xの連結区間内で1つながりに連続です。その連結区間内で、この関数f(x)が連続関数であると定義されます。
(積分が可能な範囲)
上図の関数では、
x=0の近くの、0<x≦bの範囲内のx=δの点から積分し、例えば、
δ≦x≦b
の範囲で積分します。
(注意)連続関数とは、ある関数f(x)の変数xの所定の範囲内で関数f(x)が連続である、という関数f(x)の範囲のことです。
(積分できない例)
上図の関数の事例では、x=0の点では関数f(x)の値が-∞になり、関数が定義されていないで、関数が不連続です。そして、この関数では、x=0を含んだ範囲で積分することはできません。
上図の関数を、上図の様にx=0を含む区間で定積分したら、マイナスの無限大になるので、積分が不可能です。
そのため、上図の関数を、例えば-1から1までの区間で積分する事も不可能です。
これを無視して、関数f(x)の連続で無い点を定積分の範囲内に入れてしまうと以下の間違いをおかします。
F(x)=1/xをxで微分したら
になるので、
関数
の、複合区間を定義域にする誤った原始関数がF(x)=1/xです。そして、変数xの積分区間に、f(x)が不連続になるx=0を含めた、xが-1から1までの区間で、
関数f(x)の定積分を、複合区間を定義域とする誤った原始関数F(x)を使って、 F(1)-F(-1)=1-(-1)=2
という 計算で求めると、明らかに間違えます。
上の図で明らかな様に、-1から1までの範囲でのf(x)の積分はf(x)のグラフの面積にならなければなりません。そのため、定積分の答えは、マイナス無限大にならなければなりません。
しかし、複合区間を定義域とする誤った原始関数F(x)を使った上の計算結果はそれと全く違い、面積が正の値の2になり、
全く間違った答えになりました。
高校で習う、
「原始関数F(x)を使って、以下の計算で定積分する。」
に従って、
(高校で教えられていない必須作業の、関数f(x)が定積分の区間で連続か否かのチェックをしないで)
複合区間を定義域にする誤った原始関数F(x)の差を計算すると、上の計算の例の様に、
元の関数のグラフの面積が計算できず、
間違った答えになります。
なお、微分積分学の基本定理に記載されている、
という式で定義された関数S(x)は不定積分であって、1つながりのグラフになります。
実際、被積分関数
に対して、上の式により:
a>0の場合には、x>0の範囲の定義域だけの関数
S(x)=1/x, (x>0)
だけが得られます。この定義域で1/xは1つながりの連続関数です。
a≦b<0の場合には、x<0の範囲の定義域だけの関数
S(x)=1/x, (x<0)
だけが得られます。この定義域で1/xは1つながりの連続関数です。
a=0の場合には、S(x)が計算できません。
この積分の式で定義される(定義可能な)不定積分:
は必ず1つながりに連続な関数です。
そのため、この不定積分S(x)は、x≠0における高校数学による誤った原始関数の定義:
F(x)=1/x, (x≠0)
(これは、定義域がx≠0で、x<0の部分とx>0の部分の複合区間を定義域にする、不連続な、誤った原始関数F(x) )
とは異なります。
(積分可能条件の注意)
高校生が覚えておくべき積分可能条件は、
関数f(x)が1つながりに連続な範囲内で積分するならば積分可能性が完全に保証され、
そうでないときは間違った答えが得られる事がある事
を覚えておいてください。
なお、微分積分学の基本定理が積分可能性を完全に保証する条件であるf(x)が積分区間で連続でなければならないという条件は、緩める事ができ、f(x)の不定積分F(x)が1つながりに連続であるだけで良いということが分かっています。(これについては後で詳しく説明します)
(1つながりに連続した関数を単位として定積分を計算するならば、間違いは起きません。)
いずれにしろ、原始関数を用いて定積分を計算する演算の際に、その定積分の積分区間における関数の性質(原始関数F(x)の連続性、又は、被積分関数f(x)の連続性)を調べる事を欠かしてはなりません。原始関数F(x)の連続性を調べるという事は、その関数F(x)が不定積分であるか否かを調べているのです。
(必ずある間違い)
以下の関数の不定積分があります。
この被積分関数が1つながりに連続な範囲は、
x>0 か、
x<0 か
の2つの範囲です。
単に(1/x)と表した被積分関数は2つの連続関数をいっしょくたにしてしまっています。
各連続関数毎に、別々に不定積分して関数の解を得なければなりません。
不定積分の解は、それぞれの連続関数に応じて2つあり、上記の式のように2つの式で表さなければなりません。
しかし、高校数学では、その2つの不定積分を以下の式で1つの式で表して教えています。
これは、2つの別々の連続関数をいっしょくたにした関数なので、もはや1つながりに連続な関数では無く、不定積分ではありません。
不定積分は1つながりに連続でなければなりません。
明らかな間違いですが、これが「不定積分を求めよ」という問題の解として教えられているので要注意です。
(大学生の正しい解答)
表現の煩雑さを避けて、
(解答おわり)
この式の右辺は不定積分では無いので、その式をF(x)と表して、それを定積分に適用して、
-1から1までの定積分として、
F(1)-F(-1)
を計算するのは間違いです。
(高校生は、上記の間違った不定積分を教わり、それを、上記の、不定積分と定積分の関係式に代入して間違った答えを得ます。高校生は(先生にも)、どこが間違っているか分からず、微分積分が分からなくなる高校生が多いのではないかと思います。)
積分結果が1つながりに連続している正しい不定積分のグラフが連続するxの範囲のみ、が定積分が可能な範囲です。
(関数が1つながりに連続な範囲で積分可能な例)
以下の図の、1つながりに連続な関数f(x)を考えます。
この関数f(x)の不定積分として以下の関数F(x)が考えられます。
この不定積分F(x)の求め方は:
x>0での関数f(x)の原始関数を求め、
x<0での原始関数を求め、
2つの原始関数を、独立にY方向に移動させて連続するようにつなぐ事で
総体の、上の図の不定積分F(x)が求められます。
この不定積分F(x)をxで微分すれば、xがどの値であってもf(x)になるので、この関数F(x)は関数f(x)の原始関数でもあります。この関数f(x)が1つながりに連続な範囲のx=aからbまでの定積分は、
不定積分F(x)を使って、
F(b)-F(a)
で計算できます。
(研究課題)
ここで、
関数f(x)が、
の場合に、
その変数xの
x=−∞の点とx=∞の点が1点であって、
その点で変数xの区間が連結しているものと定義する。
そして、x→0の点は、変数xの連結区間の端点とした、
変数xの連結区間を定義する。
そして、関数f(x)は、
x→ ±∞の点で値f(x)=0であるので、その点でも連続していると定義し、
x→ ±∞の点を含む連結区間で1つながりに連続した関数であると定義できます。
(その様に、2つの関数をx→ ±∞の点で連結して1つの関数にすることは、置換積分法などで関数の変数を変換する場合に、自然に起こり得る事です。)
この関数f(x)の、
a<0と、
b>0との
2点の間の定積分を、
不定積分F(x)を使って、
F(b)-F(a)
という値であらわすと、
その定積分は以下の様に定義できます。
先ず、
x=aの点から、x=−∞まで
f(x)を定積分して、
続けて、
x=−∞の点から、x=bの点まで、
f(x)を定積分する。
すなわち、そのように、変数xのx=aからx=bまで連結した区間の経路で関数& f(x)が積分でき、
その経路の積分範囲で定積分した値が、
F(b)-F(a)
であると定義できます。
すなわち、
x=0をまたいで積分したりせずに、
x→ ±∞の点を経由した
迂回した経路で積分した積分結果が、
F(b)-F(a)
であると解釈します。
そう解釈するならば、
F(b)-F(a)は、
定積分の値を正しくあらわしています。
このように、関数f(x)の定積分を、連結区間内からはみ出す部分がない経路で積分した値であると認識すれば、
F(b)-F(a)は、
その定積分の値を正しくあらわす式であると解釈できます。
定積分を計算する演算の際に、その定積分が可能な積分区間が、被積分関数f(x)の値が有限値であるxの点を連結した区間に限られると認識するのが良いと分かりました。
(なお、その連結区間で、不定積分F(x)は1つながりに連続な関数になっています。)
(研究課題おわり)
(積分が完全に保証される積分可能条件の外で行う例)
微分積分学の基本定理における積分可能条件(関数f(x)が積分範囲内で1つながりに連続な関数でなければならない)にあえて違反して行う以下の積分では、被積分関数f(x)がある点で連続な連続関数である場合と、その関数の1点の関数値が存在しない(あるいは0等の値になる、その点では不連続な関数である)場合とが区別されずに、その範囲を積分した不定積分が同じ1つながりに連続な関数になる。
(積分可能な例2)
以下の図の関数f(x)のグラフを考えます。
この関数は、x=0の点での極限とx=2の点での極限が存在しません。
x=0の点とx=2の点で関数は不連続であり、また、極限も存在しませんが、
-1≦x≦3
の閉区間をリーマン積分により小区間に細分した各小区間での関数の値の和が一通りに定まるので、その連続で無い点を範囲内に持つ区間で(1つながりに連続な連続関数ならば必ず積分できるという積分保証範囲の外で無理やりに)あえて積分すると積分可能です。
この関数f(x)を積分して、以下の図の不定積分の関数F(x)を求めることができます。
(原始関数を利用した不定積分の求め方)
この不定積分F(x)の求め方は、上図の関数f(x)の:
-1<x<0の区間のf(x)に対する原始関数 F(x)=0と、
0<x<2の区間のf(x)に対する原始関数 F(x)=xと、
2<x<3の区間のf(x)に対する原始関数 F(x)=C2とを求め、
それらの原始関数をY方向に平行移動して連続につなげば、以下の1つながりのグラフの不定積分F(x)が出来上がります。
この不定積分F(x)を微分して下図のグラフの関数を求めます。
x=0とx=2の点ではグラフが折れ曲がっているので微分できません。
この不定積分F(x)を微分した結果の導関数(dF(x)/dx)は、x=0とx=2で関数値が存在しないという点で、関数f(x)と異なる関数になるという特徴があります。
原始関数の定義の発想の順番は、F(x)を先に考え、次にf(x)を考えるのです。
(先ず、連結区間を定め、その連結区間内で1つながりに連続した原始関数F(x)を考え、次に、それを微分して関数f(x)が得られ、結果として得られたf(x)の原始関数がF(x)であると呼ぶのです。)
この発想の順を逆にしてf(x)に不定積分の関数F(x)を対応付ける写像変換を定義する事はできます。
上の図で得た導関数(dF(x)/dx)は、x≠0とx≠2の範囲でのみ定義されている関数です。そのグラフはf(x)とは、変数x=0とx=2の点だけが異なります。
この導関数(dF(x)/dx)のグラフを再度積分したらどうなるでしょうか。
その積分結果は、再び同じ不定積分F(x)が得られます。
(ただし、関数値f(x)が定義されていないx=0と2の点では、そのxの値の近傍までf(x)を積分して、その積分の極限値をx=0の点等での積分値に拡張する積分をしました。)
変数x=0での点とX=2での点の有無で異なる2つのグラフ、すなわちf(x)と、導関数(dF(x)/dx)を積分したら、同じ不定積分F(x)が得られました。
そのため、被積分関数f(x)に積分結果の不定積分F(x)を対応させる写像変換は、
2個以上の関数の、f(x)と(dF(x)/dx)とに1つの不定積分F(x)を対応させる、
複数対1の写像であると考えられます。
(注意)
ちなみに、微分不可能な点がある関数F(x)は真の原始関数ではありません。(真の原始関数は必ず1つながりに連続で、すべての点で微分可能な関数です。また、所定の定義域の関数f(x)では原始関数が無くても、定義域を狭くした範囲では原始関数がある事も忘れないよう注意してください。)
上の例の不定積分F(x)、
すなわち、x=0の点とx=2の点で折れ曲がって微分不可能な点を持つ関数F(x)は、
関数f(x)からx=0の点とx=2の点を除外した関数が微分の結果で得られる不定積分です。
この不定積分では原始関数より広い範囲の関数が扱え、上図のようなグラフの面積を求めることもでき実用的です。
(厳密に考える1)
ここで、厳密に考えると、
不定積分F(x)を微分すると、x≠0とx≠2の範囲でのみ関数値がある導関数(dF(x)/dx)が得られました。そのため、関数F(x)は、x≠0とx≠2の範囲でのみ定義されている導関数(dF(x)/dx)の不定積分でもあります。
一方、x=0で、f(0)=1であり、x=2で、f(2)=1である最初の関数f(x)は、不定積分F(x)の微分によっては、x=0での点とx=2での関数値が得られません。
しかし、f(x)を定積分するために利用する関数としては、この不定積分F(x)で十分です。
小平邦彦「[軽装版]解析入門Ⅰ」の182ページにも、不連続な関数f(x)の広義積分=不定積分F(x)が1つながりの連続関数で得られることが書いてあります。
また、 F(x)を微分して不連続な関数f(x)が得られる原始関数F(x)もあり得るが、それは、原始関数F(x)が微小に振動している場合という限られた場合だけです。
小平邦彦「[軽装版]解析入門Ⅰ」の126ページには、
上図の様に、普通の連続で無い点を持つ関数f(x)の不定積分F(x)につては、その連続で無い点のx=0やx=2の点では、そのxの値で微分できないと書いてあります。
すなわち、上図におけるx=0やx=2の点のように有限の値の高さに段差を持つ連続で無い点を持つ関数f(x)には、その連続で無い点で微分できる原始関数F(x)は存在しないと書いてあります。
その様に原始関数が無くても不定積分が存在することが、小平邦彦「[軽装版]解析入門Ⅰ」の182ページに書いてあります。
不定積分F(x)においては、その不定積分F(x)を微分した関数が、被積分関数のf(x)からx=0やx=2という有限個の点を除いた大部分の点で関数f(x)と一致するだけで良い事が書いてあります。
そのように、原始関数の場合は細かい注意が必要でしたが、広義積分を含めた不定積分の場合は、堂々と、不連続な関数f(x)の多くが積分可能であり不定積分F(x)を持つので、細かい注意に神経を使う必要も無くなり、積分がやり易くなりました。
(厳密な考察2から4)
下図の3つの被積分関数f(x)の不定積分F(x)は同じ関数になります。これを以下で考察します。
(厳密に考える2)上図の左上の場合
0≦x≦2の定義域でのみ定義され、その定義域内で常にf(x)=1となる関数f(x)を考えてみます。
この関数f(x)は閉区間で1つながりに連続な関数です。
この関数f(x)を積分して得た不定積分F(x)は、
0≦x≦2の閉区間の定義域で定義される、F(x)=x
という関数になります。
1つながりの連続関数であるF(x)は、その端点x=0とx=2では、片側微分係数で微分係数が定義され、x=0とx=2との点ではF'(x)の値があります。例えば以下の式の様に:
不定積分F(x)はf(x)の定義域の端のx=0で片側微分可能です。
x=0でもx=2でも、f(x)=1である関数f(x)は、不定積分の関数F(x)の片側微分によって得られます。
そのため、この不定積分F(x)は、f(x)の全ての関数値をF’(x)の結果として与える原始関数です。
(厳密に考える3)上図の右上の場合
0≦x≦2の定義域でのみ定義され、その定義域内で、
x=0で f(x)=0
0<x<2で f(x)=1
x=2で f(x)=0
となる関数f(x)を考えてみます。
その関数f(x)を積分して得た不定積分F(x)は、
0≦x≦2の定義域で定義される、F(x)=x
という関数になります。
この不定積分で得た関数F(x)は、
f(0)=1となる関数f(x)の不定積分で得た関数と同じ関数になるので、f(0)=0という情報が失われた関数である事が明らかです。
このF(x)からは、f(0)の値=0が再現不可能である事が明らかです。
F(x)は、定義域の閉区間の端点で片側微分可能で、端点x=0とx=2での微分係数=1が計算できますが、その値は、f(0)及びf(2)とは異なります。
このように、不定積分F(x)の微分によっては、x=0での点とx=2でのf(x)の値は得られません。この不定積分F(x)は、不連続な関数f(x)の全ての関数値をF’(x)の結果として与える原始関数ではありません。
このF(x)をこの例の不連続な関数f(x)の原始関数と呼ぶのは不正確ですが、このF(x)はf(x)の不定積分である事には間違いありません。
(厳密に考える4)上図の左の場合
0≦x≦2の定義域でのみ定義され、その定義域内で、
x=0で f(x)=2
0<x<2で f(x)=1
x=2で f(x)=2
となる関数f(x)を考えてみます。
その結果は、(厳密に考える3)と同じ結果になります。
(積分可能性が保証される条件とは)
上図の場合では、関数f(x)が不連続な点があっても積分できました。これは、以下の条件を満足したからです。
関数f(x)が積分可能な条件は、
関数f(x)の積分区間で、f(x)の不定積分F(x)が連続であることです。
関数f(x)を積分する区間は、不定積分F(x)が1つながりに連続な範囲の、例えば、
a≦x≦b
という区間で積分が可能です。
(この様に不連続関数f(x)にも積分可能性が保証される条件については後で説明します。)
(不連続関数f(x)の無理やり積分と、その微分の例)
関数f(x)を:
変数xが整数の点では関数値が存在せず、
変数xが整数以外の点では値が1、
である不連続関数とします。
(上図において、関数f(x)の連続で無い点である、変数x=整数での関数f(x)の極限値を、その変数xの位置での関数f(x)の値にして連続で無い点を除去すれば、関数f2(x)=1となる連続関数になります。)
この不連続関数 f(x)のグラフを積分したら、
1つながりに連続な不定積分 F(x)=xが得られます。
ここで、関数値f(x)が定義されていないx=0の点等では、そのxの値の近傍までf(x)を積分して、その積分の極限値をx=0の点等での積分値に拡張する積分をしました。
この不定積分F(x)=xを微分したら、
連続関数であるf2(x)=1が得られます。
この不定積分F(x)=xは、それを微分して得られた関数f2(x)=1の原始関数です。
上図のf(x)及びf2(x)を積分した結果の不定積分F(x)では、被積分関数が連続関数f2(x)である場合と、その連続関数のxが整数の点の関数値が存在しない(あるいは0等の値になる)不連続関数f(x)である場合と、が区別できません。
この様に、積分すると、被積分関数の連続で無い点の情報を失った不定積分F(x)が得られます。
(積分可能な例3)
(注意)
原始関数のF(x)が連続で微分可能でF'(x)=f(x)であっても、f(x)が連続関数になるとは限らないことに注意が必要です。F(x)が連続で微分可能であっても微小に振動している場合があるからです。
以下で定義する原始関数F(x)を微分して得た関数f(x)は、
F(x)の微分で作られたので、積分可能です。
(F(x)の定義)
x≠0の場合:
x=0の場合: F(0)=0,
(導関数f(x))
この原始関数F(x)はx≠0の場合も、x=0の場合も、微分可能で、
その導関数f(x)は、以下の式であらわせます。
x≠0の場合の微分:
になり、xが0に近づくと-1と1の間を振動します。
この導関数が含むcos(1/x)の関数が以下のグラフであらわす形の関数になるからです。
X=0の場合にも、F(x)は微分可能で:
というように、0になります。
このように、x=0の場合の導関数f(x)は、x=0で不連続ではありますが、f(0)=0という値を持ちます。
この導関数f(x)は、x=0で不連続ですが、x=0で関数値を持ち、積分すると原始F(x)になる、積分可能な関数です。
しかも、その積分結果の原始関数F(x)を微分すると、元の、x=0で不連続な関数f(x)が得られます。
(積分可能な例4)
上のグラフは、不連続な関数f(x)のグラフですが、無理やり積分して積分可能なグラフの例を示しています。
上の図の関数f(x)がリーマン積分可能なのは、変数xの全区間の部分区間毎です。
第1の部分区間:
-∞<x<A
第2の部分区間:
A’<x≦C
(点Aで関数は不連続であり、また、極限も存在しませんが、
-∞<x≦C
まで合わせた区間でも、関数の区間を細分した各小区間での関数の値の和が一通りに定まるので、その連続で無い点Aを範囲内に持つ区間でも積分可能です。)
(点Bでは、関数が無限大になるので積分ができません)
第3の部分:
D≦x<+∞
(注意1)
リーマン積分では、点A’から点Dまで、関数f(x)の値が無限に大きくなる点Bを範囲内に持つ区間で関数f(x)を積分することができません。
その理由は:
無限に関数値が大きくなる点Bを積分の範囲内に持つと、その点Bを中に持つxの小区間で、
細分の幅Δxがどれだけ小さな値であっても、
(1/Δx)≪f(ξ)
となる関数値f(ξ)を選ぶことができるからです。
そういう関数値f(ξ)を選んでしまうと、関数値の総和が定まらなくなってしまうからです。
(注意2)広義積分
しかし、上図の関数f(x)は、B点の左側の区間で、X=A’からx=Cまでの積分の値の、Cを無限にBに近付けた極限の有限の値を持つものとします。
また、B点の右側の区間で、X=DからX=+∞までの積分の値の、Dを無限にBに近付けた極限の有限の値を持つものとします。
「そのように左側の区間のC点及び右側の区間のD点をB点に近付けた極限での積分の値が存在するならば、
B点の左側の区間の積分値と、B点の右側の区間の積分値の和を、点Bを範囲内に持つxの区間での積分とする(広義積分)」
と言うように、関数f(x)の「積分可能性」の定義を拡大することができます。
また、グラフが積分可能な範囲は、変数を置き換える置換積分によって、変数を変え、被積分関数の形を変えると、
積分可能な範囲が変わることがあります。
例えば、
関数f(x)≡1/
は、xが-1から0未満の数までの範囲で積分可能ですが、
xが-1から0までの範囲では、x=0に近づくと被積分関数の値が無限に大きくなるので積分可能ではありません。
しかし、
新たな変数t≡-
を使って、変数tで積分する式に変換する(置換積分)と、
以下の図の様に、被積分関数が定数2に変換されます。
そのため、その場合は、 xがー1から0までの範囲に対応する、
tが-1から0までの範囲で、「積分可能」に変わります。
そのように、積分可能な変数の範囲は、変数を変換すると変わることがあります。
また、この関数f(x)に対して以下の図のグラフの不定積分F(x)を考えてみます。
(不定積分の求め方)
この不定積分の求め方は、上図の関数の部分毎に原始関数=不定積分F(x)を求め、それらの不定積分を、連続になるようにつなげば、以下のグラフのように、総体の不定積分が出来上がります。
定義域x<0の関数f(x)の原始関数の-2 と、
定義域x>0の関数f(x)の原始関数2 と
を独立にY方向に平行移動させて、x=0で連続につないで不定積分を求めます。
この不定積分F(x)は、不定積分が、被積分関数F(x)の定義域のx<0だけで定義されることになるのが気持ち悪かったので、被積分関数f(x)のx>0の範囲を勝手に定義して、その全体の不定積分を作りました。関数f(x)の部分毎に作った原始関数を、連続につないで総体の不定積分を作りました。
このグラフの不定積分F(x)を微分してみます。
この不定積分F(x)は、1つながりの連続関数であって、
また、x=0以外の点で微分するとf(x)になります。
この不定積分F(x)が1つながりに連続な変数xの範囲では、関数f(x)が積分可能です。
(その理由は、以下で、藤原松三郎の「微分積分学 第1巻」を解説して説明します)
そして、関数f(x)の定積分は、
不定積分F(x)が1つながりに連続な範囲の:
a≦x≦b
の区間では定積分でき、その定積分の値は:
F(b)-F(a)
で計算しても良いです。
関数f(x)が積分可能な条件は、f(x)の不定積分F(x)が、f(x)の積分区間において1つながりに連続である事です。
このように、積分可能の条件が広くされました。
----(補足)------
また、-1≦x<0で定義された
関数f(x)≡1/
の定積分を計算する場合に、上図の不定積分F(x)の他に以下の図の様に不定積分F(x)と、それを微分した関数f(x)を考えて、それらの定義域を、元の関数f(x)の定義域にまで縮小して考えても同じことになります。
つまり、被積分関数f(x)のx>0の範囲に接続する勝手な関数を別の関数に変えて、その全体の不定積分を作りました。関数f(x)の全体の定義域の部分の定義域毎の原始関数を、連続になるようにつないで総体の不定積分を作りました。
この関数F(x)は、x=0で連続な1つながりな連続関数です。
この関数F(x)を微分すると以下の関数f(x)になる。
そのため、F(x)は、そのf(x)の不定積分です。
この不定積分F(x)の定義域を、
x≦0
にすれば良い。
ここで、x<0で定義される被積分関数f(x)に、x>0で定義される勝手な被積分関数f(x)を加えて、被積分関数f(x)を、その定義域を広げた異なる関数に変えて、その全体の不定積分F(x)を作りました。そして、最終的に、その不定積分の定義域は削除するので、X>0の定義域の不定積分は、気休めに加えたものにすぎません。
ただし、いずれの作り方で作るにしても、不定積分F(x)の定義域はx≦0にでき、被積分関数f(x)の定義域はx<0ですので、不定積分F(x)の定義域の方が被積分関数f(x)の定義域よりも広く作れました。
----補足おわり--------
これらの事については、数学者の藤原松三郎の「微分積分学 第1巻」が、
連結区間a≦x≦b内で定義される関数f(x)が、その連結区間内に有限個の連続で無い点を持つ関数f(x)である場合に、
その区間a≦x≦bでのf(x)の積分を広義積分と呼び、
関数f(x)の不定積分F(x)が求められて、
関数f(x)の積分範囲
a≦x≦b
内で不定積分F(x)が(端点では片側連続である)1つながりに連続な関数ならば、
(その積分範囲内にF(x)が微分不可能な点、それは被積分関数f(x)が連続で無い点、があっても良い)、
(1)それは、不連続関数f(x)が積分可能である証拠であり、
(2)以下の計算で定積分を計算して良い事が書いてあります。
F(b)-F(a)
よって、
不連続な関数f(x)に対して、
その定義域を、関数f(x)の連続で無い点を除外した連結区間に分割し、
それら各連結区間毎に原始関数を計算し、
得られた各原始関数を連続につないで不定積分を構成します。
その1つながりに連続な不定積分を使って上の式で定積分を計算して良いのです。
また、小寺平治・著「はじめての微分積分15講」(2,200円)の103ページにも、このことが書いてあります。
小平邦彦「[軽装版]解析入門Ⅰ」の182ページにも、このことが書いてあります。
(複合区間を定義域にする誤った原始関数の差で計算するから間違えるのであって、不定積分(必ず一つながりな連続関数になる)の差で定積分を計算するならば、間違いは起きません。不定積分(いつも一つながりな連続関数)の差で定積分を求めたと書く答案が一番正しい答案だと思います。)
《(外部リンク)置換積分等の積分の計算に潜んでいる広義積分》
《(外部リンク)変な積分》
微分積分学は、微分可能な関数と積分可能な関数(その関数の変数xの範囲の定義域)を定義して、その種の関数の間で微分したり積分をします。「微分可能」と「積分可能」という制限条件を定め、その制限条件を満足する関数を扱うのが微分積分学だと認識することがとても大切です。
しかし、この一番大切な概念を高校2年には教えない。高校3年に至っても「積分可能」の概念を教えていないようです。
しかも、1997年からは、日本の高校の数学IIで面積が無定義に用いられという、数学センスを否定する蛮行が行なわれた。そして、関数f(x)のグラフとx軸で囲まれる領域の面積を,x方向で微分するともとの関数f(x)になり、面積の微分がf(x)となるという本末転倒なことを教えるようになった。
現在の高等学校の教科書は,積分の概念の説明を回避している。
数学者の吉田洋ーが以下のようになげいています。
“論証"・論証"とやかましくいっておきながら,微積のところへ来ると,とたんにいいかげんな議論でごまかしている。一ーまた高校ではごまかさざるを得ないだろう。高校数学の目的は生徒のあたまを混乱させることにあるのだろうか。
このようなデタラメな教育では、高校生に微分積分が分からないのも無理無いと考えます。
注意 5.3 1969年の日本書院の高校の教科書の数学IIIで, 定積分は次のように定義されている.
関数 y = f(x) は閉区間 [a, b] で連続とする.
(関数が不連続な場合への積分の定義の拡大を排除していないので、定義にごまかしが無い)
この区間を図のように (n-1) 個の点
x1, x2, … , xn-1
で n 個の小区間
[a,x1], [x1,x2], … , [xn-1, b]
に分ける.それら小区間内にそれぞれ任意の点
t1, t2, … , tn …①
をとって,和
を作る.ただし、a=x0,b=xnとする。
すべての小区間の長さが,いずれも 0 に近づくように n を限りなく大きくするとき, ①の点の位置のとり方にかかわらず, 和Snは一定の極限値に近づくことが知られている. この極限値を,関数 f(x) の区間 [a, b] における定積分といい
で表す. ■
この定義は高校生のための定積分の定義として優れている. リーマン積分の理論と断絶していない。
大学において、そこに開かれている. 「収束」の意味,区間和の上限,下限などを学習し,
連続関数なら、Snが収束することと、積分可能であること、
をつかんだら、
その段階で,高校での定義を再認識することができる.
高校教科書はこのようでなければならない.
《下図に各種の関数の集合の包含関係をまとめた》

リンク:
高校数学の目次
新型コロナウイルス感染対策
(ページ内リンク)
▽はじめに
▽積分とは何か(リーマン積分)
▽《区間という用語の意味》
▽一様連続性
▽不正確な情報から真実を見抜くコツ
▽(外部リンク)原始関数とは何か
▽(外部リンク)不定積分とは何か
▽微分積分学の基本定理
▽積分可能な例
▽必ずある間違い
▽広義積分
▽(外部リンク)置換積分等の積分の計算に潜んでいる広義積分
▽(外部リンク)変な積分
(はじめに)
高校数学では、「原始関数を求める」のが積分だと言われています。
しかし、大学で教わる微分積分も調べて、積分とは何かを
熟慮した結果、
積分とは「不定積分を求めること」(不定積分とは何かをハッキリさせなければなりませんが)である事である事が分かりました。
高校生は、ハッキリ教えられないでも、動物的な本能で、
「積分で求めるべき”原始関数”は1つながりに連続でなければならない」
という経験を積んで来たと思います。それは、実は原始関数の定義に初めから明示しなければならない条件だったというあいまいさが原始関数の定義にはありました。
また、求める目標の原始関数の目標を明確化すると、それは、原始関数に近い関係にある不定積分でした。
積分で正しい答えを求めるために探していたのは、不定積分だったのです。
(1)不定積分F(x)は、それを微分すると、有限個の微分不可能な点を除く大部分の点で、被積分関数f(x)が得られる関数の事です。
(2)不定積分は、(複合区間を定義域にする誤った原始関数とは違い)明確に1つながりに連続な関数である関数です。それは、複合区間を定義域にする原始関数の変数xの定義域を、F(x)が1つながりに連続になる範囲に限定する事で実現します。
(3)不定積分は、原始関数と違って、微分したとき、被積分関数f(x)の数点の関数値と一致しないでも良い関数です。大部分のxでf(x)と一致するだけで良いのです。
そういう不定積分を”原始関数”のつもりで求めるだけで良いのが積分の計算です。
以下では、その不定積分F(x)と、原始関数と、被積分関数f(x)との関係を見ていきましょう。
(微分積分を使いものにする言葉について)
数学者の小平邦彦「[軽装版]解析入門Ⅰ」では、微分積分を使いものになる道具にするため、数学の定理で連続関数を使うときに必ず使う形に整合させて連続関数を定義しています。すなわち、連続関数という言葉を、連結区間で1つながりに連続する関数と定義しています。
このページで使う「連続関数」という言葉は、高校数学で教わる誤った定義の連続関数では無く、大学で学ぶ正しい定義の連続関数(1つながりに連続な関数)をあらわします。
また、小平邦彦「[軽装版]解析入門Ⅰ」では、使いものにならなくなっている「不連続点」と言われている言葉を使わず、微分積分の概念の理解のために役立つ言葉で、連続点以外の点をあらわす「連続で無い点」という言葉を使っています。そのため、当ブログでも、小平邦彦「[軽装版]解析入門Ⅰ」に従って、「不連続点」という言葉は使わず、「連続で無い点」という言葉を使います。
(不連続点の当初の定義も、連続で無い点の定義と同じでした。藤原松三郎の「微分積分学 第1巻」によると、「f(x)がx=ξで連続でない場合に、x=ξをf(x)の不連続点という。」と定義されていました。)
なお、高校2年の微分積分の勉強のためには、「やさしく学べる微分積分」(石村園子)を読むと良いと思います。高校3年になって本格的に微分積分を学びたくなった学生は、学生が微分積分を無駄なく学べるよう工夫がこらされている本:小平邦彦「[軽装版]解析入門Ⅰ」を読むと、微分積分が無駄なく勉強できて良いと思います。
【積分とは何か】
以下では、先ず、積分とは何かを、積分可能のハッキリした定義を知ることで頭を整理しましょう。
積分については,ここをクリックした先のpdfファイルにある原教授の以下のコメントが大切です。
---(原教授のコメント開始)---------
積分については高校でも習ってはいるが,その基礎を突き詰めていくといろいろと困ったことがでてくる.
特に 「積分は微分の逆演算」として定義すると,「ある関数 f の積分を求めよ」という問題や「この関数の積分は定義できるか?」という問題でハタと困ってしまう.
(微分して f になるような関数がわからない場合,高校までの知識ではお手上げだ.)
この節では高校までの知識はいったん忘れて,「積分とは何か」「積分をどのように定義すべきか」か ら話を始める.
4.1 積分(定積分)の定義
ということで,まずやるべきは「与えられた関数f(x) に対して,その積分を定義すること」である.
これから見ていくように,かなり広いクラスの関数に対してその積分(定積分)を定義することができる.
定積分を通して不定積分も定義できるので,高校までの知識とのつながりがつくことになる.
・・・
積分の最も素朴な定義はこれから紹介する「リーマン和」に基づくもので、、、
---(原教授のコメントおわり)------
(積分の計算の基本)
定義6.1(Riemann積分) 同志社大学 押目教授
閉区間[a, b]上において有界(有限な最大値と有限な最小値を持つ)な関数f(x)に対して、
以下のn+1個の有限個の小区間への分割の仕方、および、その小区間内の点ξi(i = 1, 2, . . . , n) の位置のとり方に関係なく、各点の関数値の和Sが一通りに定まる時,
f(x)は閉区間[a, b]において(Riemann)積分可能という.
(注意)無限大の数の小区間へ分割するのでは無いことに注意 。
以下のグラフのように、面積を分割して、分割した要素の総計を求めてグラフの面積を計算する手法が「積分」です。
この計算のための法則性を整理して覚えることが「積分」を勉強するということです。
《区間という用語の意味》
また、 「区間」という数学用語は、変数xの数直線上にある、実数がすき間なくつめられた1かたまりの実数の集合として定義されている事に注意が必要です。
a≦x≦bを満足するxの区間という表現は、a≦x≦bの範囲内の全ての実数xという意味です。
-∞<x<∞という区間もあります。
区間はxの値の範囲を限定するためのa≦x≦bという式とは意味が異なることに注意する必要があります。
区間a≦x≦bが命題の中に記載されている場合は、その範囲内の全ての実数xについて命題を検討する必要があります。被積分関数f(x)が定義されていない変数xの点があっても、その点も、その命題が検討されるべき点の1つです。
「区間」という用語は、特に重要な関数である連続関数の連続性を定義するために必要な、連続関数f(x)の変数xの集合体がいつも持っていなければならない連続性という重要な性質が「区間」という概念を用いてあらわされています。
すなわち、変数xの「区間」の性質で大切なのは、
「区間」のなかに変数xの値が隙間なく存在すること。
つまり所定範囲内での隙間が無い全ての実数の集合という概念が「区間」という用語で定義されています。
例えば:
f(x)=1/xの定義域を(0,∞) (={x|xは0より大きい実数})
とすれば、f(x)は区間で定義された関数です。
g(x)=1/xの定義域を(-∞,0)∪(0,∞)(={x|xは0でない実数})
とすれば、g(x)は区間で定義された関数ではありません。
(f(x)とg(x)は定義域が異なっているため、f(x)とg(x)は同じ関数ではありません)
(「リーマン積分可能」の定義)
「微分積分学入門」(横田 壽)の124ページから125ページ近くに「リーマン積分可能」の定義が書いてあります:(注:横田教授が芝浦工業大学を退官したため、この教科書を無料で掲載するWebページが無くなりました。この本は書店で購入できます。)
その他に、高校2年生が勉強するのに適切な、書店で購入できる微分積分の参考書の、「やさしく学べる微分積分」(石村園子)の104ページに「積分可能」の定義が書いてあります。
ここではドイツの数学者G.F.B. Riemann (1826-1917) によって示されたRiemann 積分につ いて学んでいきます.リーマン積分による「積分可能」の定義は、全ての種類の「積分可能」の定義の基礎になっています。
f(x) は閉区間[a, b] で定義されているとします.この閉区間[a, b] を次のような点xi(i = 1, 2, . . . , n) でn 個の小区間に分割します.
(a = x0 < x1 < x2 < · · · < xi < · · · < xn = b)
この分割をΔ で表わし, Δxi = xi − xi−1 (i = 1, 2, . . . , n) のうちで最も大きい値を|Δ| で 表わします.
(注目ポイント)
高校数学で教える区分求積法では、区間を細分した部分区間のグラフの高さf(x)を求めますが、そのxの位置が部分区間の中の特定の位置に固定されています。
その固定をしないで、どの位置のxでのf(x)を棒グラフの高さにして計算しても良い、
というのがリーマン積分です。
いま,それぞれの小区間[xi−1, xi] のなかの任意の位置に点ξi をとり,Riemann 和 (Riemann sum) とよばれる次の和を考えます.
このとき、
となる実数S が存在するならば,このS をf(x) の定積分(definite integral) といい, f(x) は閉区間[a, b] で積分可能(integrable) であるといいます.また,このS を次のように表わします.
つまり関数f(x) が閉区間[a, b] で積分可能であるということは,小区間への分割の仕方および小区間内の点ξi(i = 1, 2, . . . , n) の位置のとり方に関係なく、各点の関数値の和が一通りに定まるということです.
この定義に従い、関数の積分可能性を以下の様にして調べることができます。
先ず小さな閉区間[a, b] を定めて、
その閉区間の小区間への分割の仕方および小区間内の点ξi(i = 1, 2, . . . , n) の位置のとり方に関係なく、各点の関数値の和が一通りに定まる(積分可能)か否かを調べることができます。
(注意)
ここで、点ξiの位置のとり方に関係なく関数値の和が定まるためには、
少なくともその区間の全ての実数値に対して有限の値の関数値が存在しなければなりません。
それが、積分可能性の大前提です。
(リーマン積分の例1)
下図の左上、右上、左、の3つの各グラフを、x軸の0から値xまでリーマン積分してグラフの面積を計算すると、xの値毎の面積が、3つの場合で共通して右下のグラフになります。
(リーマン積分の例2)
以下の図の関数f(x)のグラフを考えます。
この関数f(x)の、
-1≦x≦3
の閉区間を小区間に細分した各小区間での関数の値の和が一通りに定まるので、リーマン積分可能です。
この関数f(x)を積分して、以下の図の不定積分の関数F(x)を求めることができます。
この様な積分の解は上図のグラフの不定積分F(x)であらわせます。
この関数F(x)は、x=0とx=2で微分不可能です。一方、原始関数は、定義域の連結区間内の全ての点で微分可能な関数です。そのため、その微分不可能な点x=0とx=2を定義域の連結区間内に含む関数は原始関数ではありません。この様な簡単なグラフの面積を求める問題であっても、変数xのあらゆる実数を定義域とする原始関数を使おうとすると、問題を解く事ができません。
しかし、不定積分の部分として、定義域を連結区間0<x<2に狭くした原始関数を不定積分の定義域の一部に組み込んで使う事ができます。
上の関数の例では、全実数の定義域の一部の0<x<2の範囲を定義域とするf(x)に対して原始関数F(x)が存在します。それを不定積分に組み込みます。また、定義域が2<xの範囲の原始関数F(x)が存在します。また、定義域がx<0の範囲の原始関数F(x)が存在します。その3つの原始関数を連続につないで不定積分を作れば良いのです。
【一様連続性】どの様な関数がリーマン積分可能であるか一様連続性
以上で説明したリーマン積分が、閉区間で連続な関数を例にして説明されるのは、その関数がリーマン積分可能だからです。
リーマン積分可能のキーワードは、一様連続性です。閉区間で連続な関数は一様連続です。すなわち、積分区間を均等に分割して分割数を多くすると、すべての分割部分の中での関数値のばらつきを一斉に小さくできる(これを一様連続と言う)。そのため閉区間で連続な関数は、分割数を多くして、一斉に、分割部分内の関数値のバラツキを小さくできるので、積分の値のバラツキを小さくでき、リーマン積分可能です。
(極限では無限大に発散する点に向けて連続している(開区間で)連続な関数は、その無限大に発散する点とは接続してはいませんが、その開区間の領域をいくら細かく分割しても、発散点の近くでは、未だ分割部分内の関数のバラツキが大きいです。そういうふうに、分割した区間内での関数の値のバラツキを一斉に小さくできない(一様連続で無い)関数は、積分可能にはなりません。)
(関数の値のバラツキが一斉に小さくなる説明)
f(x)が連結な閉区間a≦x≦bで1つながりに連続な関数であれば、閉区間で連続な関数の最大値・最小値の定理によって、f(x)の値はある最大値と最小値の間の値に限られている。
そのように、ある最大値と最小値の間の値に限られている、閉区間で連続な関数f(x)の領域を以下の図の様に2等分する。
(ただし、二等分とは言っても、分割された領域の境界点は、それぞれの領域が共有するように分割する。)
そして、分割された領域毎に、関数の最大値と最小値の差Δを考え、全分割領域での、差Δの最大値Δ2を抽出する。
関数f(x)が連続関数の場合は、その差の最大値Δ2は、分割前の領域での関数の最大値と最小値の差Δ1よりも小さくなる。
更に、各領域を2等分する。
(ただし、二等分とは言っても、分割された領域の境界点は、それぞれの領域が共有するように分割する。)
そして、分割された領域毎に、関数の最大値と最小値の差Δを考え、全分割領域での、差Δの最大値Δ3を抽出する。
関数f(x)が連続関数の場合は、その差の最大値Δ3は、分割前の領域での差の最大値Δ2よりも小さくなる。
更に、各領域を2等分する操作を繰り返し、
差の最大値Δ4、Δ5、Δ6・・・
を求めて行く。
すると、関数f(x)が連続関数の場合は、領域を分割する毎に、全分割領域での差の最大値Δnは無限に小さくなって行く。(これは、以下のようにして証明できる)
(仮説)
もし関数の最大値と最小値の差Δnが無限に小さくならないで、ある値β>0に留まるとする。
(仮説の検証)
その場合は、どんなに区間を分割しても、関数値のばらつきがβである微小区間が残り続ける。
ばらつきがβ未満の微小区間を分割してもばらつきがβである微小区間が生まれる事はないので、関数値のばらつきがβである微小区間は、関数値のばらつきがβである微小区間の分割によって生まれる。
すなわち、関数値のばらつきがβである微小区間が、それを無限に分割しても、関数値のばらつきがβであり続ける。その微小区間は点に収束し、その点の近くで関数値のばらつきが0に収束する事はない。
その場合は、その点で関数f(x)の連続の条件を満足しない。
これは、f(x)が連続である条件に反する。
ゆえに、この仮説が成り立たず、
関数の最大値と最小値の差Δnは無限に小さくなっていく。
(一様連続性)
以上の様に、ある関数f(x)の各分割領域を更に2分の1に分割する操作をn回繰り返していき、各分割領域の関数f(x)の最大値と最小値の差(関数の値のばらつき)Δを求める。
(1)そのとき、全ての分割領域での関数の値のばらつきΔの最大値Δnが有限の値で存在すること。
(2)この操作を繰り返して分割領域を無限に小さくすると、
全ての分割領域での関数の値のばらつきの最大値Δnが、無限に小さくなって行く。
(すなわち、全ての分割領域での関数の値のばらつきがΔnより小さく、そのΔnが無限に小さくなっていく)
これが成り立つ関数f(x)の性質を「一様連続」であると言います。
この説明は、以下の様に定義されている一様連続の言い換えです。
「どんなに小さな正の値εについても、全ての分割領域での関数の値のばらつきがε以下にできる、分割領域の小さな幅δ=(b-a)/(2^n)が存在するとき、その関数は一様連続である。」
(一様連続の説明おわり)
無限に小さい差Δnによる、関数f(x)の値の総和(リーマン積分)への影響は無限に小さい。そのため、この関数f(x)はリーマン積分可能である。
(バラツキが一斉に小さくなる説明おわり)
【不正確な情報から真実を見抜くコツ】
以下で説明するように、高校で教わる原始関数の定義は(大学での定義とは異なり)不正確なあいまいな定義です。
そのように、不正確な情報から真実を拾い出すコツがあります。それは、扱う関数を均質な基本的な要素に分割して、その分割された関数に不正確かもしれない情報を適用します。
具体的には、関数を、全て、1つながりに連続する関数に分割して考えます。その、1つながりに連続する関数を扱うのであれば、不正確な情報の公式を適用したとしても誤りに陥る事を防ぐことができます。
そのように、先ずは、1つながりに連続する関数毎に積分を調べれば良いのです。
例えば、下図の関数f(x)を考える場合:
x<-1での1つながりに連続する関数と、
-1<x<1での1つながりに連続する関数と、
1<x での1つながりに連続する関数を、
別々の3つの関数と考えれば良いのです。
そのように、関数全体を、均質な基本的な要素の関数に分割して、その基本要素だけに公式を適用すれば、不正確な壊れた道具の定理(例えば正しい原始関数の定義を使って証明した定理を作ってから、原始関数の定義を変えてしまって、その定理を適用するという使い方の定理)を使いこなすことができるようになります。
不正確な情報が与えられても正しい答えを出せるようになる事は、数学の極意を習得するという事でもあり、大事な数学的分析態度だと考えます。
【原始関数とは何か】(ここをクリック)
-----【原始関数の正しい定義】---------------
(原始関数の正しい定義は、1つながりに連続で、かつ、微分可能な関数F(x)をf(x)の原始関数と定義します)
すなわち、関数F(x)が、連結区間a<x<bのどの点でも連続、かつ、微分可能な関数であれば、F(x)を微分して導関数f(x)が求められる。この場合に、F(x)を関数f(x)の原始関数と言う。
(藤原松三郎の「微分積分学 第1巻」)
すなわち、原始関数は連結区間における連続関数であり1つながりのグラフであると定義されています。
-------原始関数の定義おわり-----------------
【不定積分とは何か】(ここをクリック)
(1)不定積分F(x)は、それを微分すると、有限個の微分不可能な点を除く大部分の点で、1つながりに連続した単位の被積分関数f(x)が得られる関数の事です。
(2)不定積分は、明確に1つながりに連続な関数です。
(3)不定積分は、原始関数と違って、微分したとき、被積分関数f(x)の数点の関数値と一致しないでも良い関数です。大部分のxでf(x)と一致するだけで良いのです。
【微分積分学の基本定理】
関数y=f(x)が、 連結区間a≦x≦b の全ての点で連続とする。 その条件が成り立つならば、必ず、
という計算をすることができる。(積分可能である)
そして、次のことが成り立つ。
(1)S(x)は、連結区間a<x<bで、
S'(x)=f(x)
になり、(正しい定義の)原始関数の1つである。
このS(x)の式はf(x)の不定積分の定義になっています。
上の式で積分して計算される不定積分S(x)は、定義域が、積分可能な範囲に限定されている結果、定義域が連結区間に限定されています。
そして、S(x)は、必ず、その定義域で1つながりに連続した関数になります。
(注意1)
以下の関数f(x)は関数の定義域内の全ての点で連続ですが、1つながりに連続な関数では無いので連続関数ではありません。
高校教科書の誤った連続関数の定義:「関数 f(x) が、定義域のすべての x の値で連続であるとき、 f(x) は連続関数である。」に従うと、これを連続関数とする誤りに陥ります。
この切れ切れのノコギリ状の関数f(x)を不定積分した関数F(x)を求めてみます。
ここで、関数値f(x)が定義されていないx=0.5の点等では、そのxの値の近傍までf(x)を積分して、その積分の極限値をx=0.5の点等での積分値に拡張する積分をしました。
この関数F(x)を微分すると、x=0.5, 1.5, 2.5等では、F(x)の微分係数が計算できません。
この関数F(x)は原始関数ではありません。
そうなる原因は、被積分関数f(x)が1つながりに連続では無いので連続関数では無かったから、(微分積分学の基本定理)の前提条件である、関数y=f(x)が、連結区間a≦x≦bの全ての点で連続である条件が成り立っていなかったからです。
(注意2)
また、連続点は数学の重要な概念であり、数学的に厳密に定義されています。不連続点という言葉は、その重要な連続点の定義に従属して、その反対の性質を持つ点として定義する必要があります。
しかし、「不連続点」の定義では、そうせず、たいした根拠も無く、上の例のように関数値が存在しない点は「不連続点」とは呼ばず、連続点の概念とは無関係な言葉として定義されています。
そのように定義した「不連続点」という概念によっては、xのある値x0でf(x0)が存在しないことで関数がx=x0で連続で無いという関数の不連続性が把握できなくなっています。
数学センスがある学生は、関数の連続点の否定を表すのではない「不連続点」という言葉は数学的に無意味で数学研究に役立たないと見抜き、「不連続点」という言葉は使わず別の言葉「連続で無い点」を自分で独自に定義して自分の研究に役立てると思います。
(注意3)
高校生は教科書から、誤った連続関数の定義:
「関数 f(x) が、定義域のすべての x の値で連続であるとき、 f(x) は連続関数である。」
を教わることで、
正しい定理:「連続関数を積分した式は、その式のグラフの全ての点で微分可能である(微分積分学の基本定理)」が、
その誤った連続関数の定義から導かれるこの反例によって否定されてしまうという問題に直面します。
高校生は、この反例により、「(連続関数に限定すれば)微分と積分が逆演算になる」という微分積分学の基本定理も否定され、積分が微分の逆演算になる根拠も分からなくなるという深刻な問題に直面します。
こういう問題に直面する高校生に心から同情します。
(注意1~3おわり)
微分積分学の基本定理によって、関数f(x)が連結区間のa≦x≦b上で1つながりに連続であるならば、
不定積分関数S(x)やF(x)が、f(x)のその範囲内の積分で計算する事で求められる事が保証されています。
そうして計算して得た不定積分F(x)を使って、
被積分関数f(x)が連続である範囲のa≦x≦bでの定積分を、
F(b)-F(a)で計算できる事が保証されています。
微分積分学の基本定理の登場により我々に注意が喚起されたメッセージは、
『関数f(x)の積分を計算しようとする場合には、その積分区間における関数の性質(連続である等)を調べなければならない』
というメッセージです。
不定積分を用いて定積分を計算する演算の際に、その定積分の積分区間における関数の性質を調べる事を欠かしてはならない、というメッセージです。
この大切なメッセージについては、日本の高校の積分の授業では、「積分する区間内の全ての変数値に対して関数値が定義されていなければならない」と教えられているようです。先ず、関数値が定義されている事は必要です。しかし、厳密に言うと、それだけでは積分可能の条件としては不十分です。
(積分可能な例1)
関数を積分する区間は、
a≦x≦b
というように、その積分の区間の両端が存在する区間で積分します。
すなわち、
a<x<b
というような、両端が存在しない区間では積分しません。
例えば、以下の図の、x=0で連続で無い関数f(x)は、その連続で無い点以外の変数xの連結区間内で1つながりに連続です。その連結区間内で、この関数f(x)が連続関数であると定義されます。
(積分が可能な範囲)
上図の関数では、
x=0の近くの、0<x≦bの範囲内のx=δの点から積分し、例えば、
δ≦x≦b
の範囲で積分します。
(注意)連続関数とは、ある関数f(x)の変数xの所定の範囲内で関数f(x)が連続である、という関数f(x)の範囲のことです。
(積分できない例)
上図の関数の事例では、x=0の点では関数f(x)の値が-∞になり、関数が定義されていないで、関数が不連続です。そして、この関数では、x=0を含んだ範囲で積分することはできません。
上図の関数を、上図の様にx=0を含む区間で定積分したら、マイナスの無限大になるので、積分が不可能です。
そのため、上図の関数を、例えば-1から1までの区間で積分する事も不可能です。
これを無視して、関数f(x)の連続で無い点を定積分の範囲内に入れてしまうと以下の間違いをおかします。
F(x)=1/xをxで微分したら
になるので、
関数
の、複合区間を定義域にする誤った原始関数がF(x)=1/xです。そして、変数xの積分区間に、f(x)が不連続になるx=0を含めた、xが-1から1までの区間で、
関数f(x)の定積分を、複合区間を定義域とする誤った原始関数F(x)を使って、 F(1)-F(-1)=1-(-1)=2
という 計算で求めると、明らかに間違えます。
上の図で明らかな様に、-1から1までの範囲でのf(x)の積分はf(x)のグラフの面積にならなければなりません。そのため、定積分の答えは、マイナス無限大にならなければなりません。
しかし、複合区間を定義域とする誤った原始関数F(x)を使った上の計算結果はそれと全く違い、面積が正の値の2になり、
全く間違った答えになりました。
高校で習う、
「原始関数F(x)を使って、以下の計算で定積分する。」
に従って、
(高校で教えられていない必須作業の、関数f(x)が定積分の区間で連続か否かのチェックをしないで)
複合区間を定義域にする誤った原始関数F(x)の差を計算すると、上の計算の例の様に、
元の関数のグラフの面積が計算できず、
間違った答えになります。
なお、微分積分学の基本定理に記載されている、
という式で定義された関数S(x)は不定積分であって、1つながりのグラフになります。
実際、被積分関数
に対して、上の式により:
a>0の場合には、x>0の範囲の定義域だけの関数
S(x)=1/x, (x>0)
だけが得られます。この定義域で1/xは1つながりの連続関数です。
a≦b<0の場合には、x<0の範囲の定義域だけの関数
S(x)=1/x, (x<0)
だけが得られます。この定義域で1/xは1つながりの連続関数です。
a=0の場合には、S(x)が計算できません。
この積分の式で定義される(定義可能な)不定積分:
は必ず1つながりに連続な関数です。
そのため、この不定積分S(x)は、x≠0における高校数学による誤った原始関数の定義:
F(x)=1/x, (x≠0)
(これは、定義域がx≠0で、x<0の部分とx>0の部分の複合区間を定義域にする、不連続な、誤った原始関数F(x) )
とは異なります。
(積分可能条件の注意)
高校生が覚えておくべき積分可能条件は、
関数f(x)が1つながりに連続な範囲内で積分するならば積分可能性が完全に保証され、
そうでないときは間違った答えが得られる事がある事
を覚えておいてください。
なお、微分積分学の基本定理が積分可能性を完全に保証する条件であるf(x)が積分区間で連続でなければならないという条件は、緩める事ができ、f(x)の不定積分F(x)が1つながりに連続であるだけで良いということが分かっています。(これについては後で詳しく説明します)
(1つながりに連続した関数を単位として定積分を計算するならば、間違いは起きません。)
いずれにしろ、原始関数を用いて定積分を計算する演算の際に、その定積分の積分区間における関数の性質(原始関数F(x)の連続性、又は、被積分関数f(x)の連続性)を調べる事を欠かしてはなりません。原始関数F(x)の連続性を調べるという事は、その関数F(x)が不定積分であるか否かを調べているのです。
(必ずある間違い)
以下の関数の不定積分があります。
この被積分関数が1つながりに連続な範囲は、
x>0 か、
x<0 か
の2つの範囲です。
単に(1/x)と表した被積分関数は2つの連続関数をいっしょくたにしてしまっています。
各連続関数毎に、別々に不定積分して関数の解を得なければなりません。
不定積分の解は、それぞれの連続関数に応じて2つあり、上記の式のように2つの式で表さなければなりません。
しかし、高校数学では、その2つの不定積分を以下の式で1つの式で表して教えています。
これは、2つの別々の連続関数をいっしょくたにした関数なので、もはや1つながりに連続な関数では無く、不定積分ではありません。
不定積分は1つながりに連続でなければなりません。
明らかな間違いですが、これが「不定積分を求めよ」という問題の解として教えられているので要注意です。
(大学生の正しい解答)
表現の煩雑さを避けて、
(解答おわり)
この式の右辺は不定積分では無いので、その式をF(x)と表して、それを定積分に適用して、
-1から1までの定積分として、
F(1)-F(-1)
を計算するのは間違いです。
(高校生は、上記の間違った不定積分を教わり、それを、上記の、不定積分と定積分の関係式に代入して間違った答えを得ます。高校生は(先生にも)、どこが間違っているか分からず、微分積分が分からなくなる高校生が多いのではないかと思います。)
積分結果が1つながりに連続している正しい不定積分のグラフが連続するxの範囲のみ、が定積分が可能な範囲です。
(関数が1つながりに連続な範囲で積分可能な例)
以下の図の、1つながりに連続な関数f(x)を考えます。
この関数f(x)の不定積分として以下の関数F(x)が考えられます。
この不定積分F(x)の求め方は:
x>0での関数f(x)の原始関数を求め、
x<0での原始関数を求め、
2つの原始関数を、独立にY方向に移動させて連続するようにつなぐ事で
総体の、上の図の不定積分F(x)が求められます。
この不定積分F(x)をxで微分すれば、xがどの値であってもf(x)になるので、この関数F(x)は関数f(x)の原始関数でもあります。この関数f(x)が1つながりに連続な範囲のx=aからbまでの定積分は、
不定積分F(x)を使って、
F(b)-F(a)
で計算できます。
(研究課題)
ここで、
関数f(x)が、
の場合に、
その変数xの
x=−∞の点とx=∞の点が1点であって、
その点で変数xの区間が連結しているものと定義する。
そして、x→0の点は、変数xの連結区間の端点とした、
変数xの連結区間を定義する。
そして、関数f(x)は、
x→ ±∞の点で値f(x)=0であるので、その点でも連続していると定義し、
x→ ±∞の点を含む連結区間で1つながりに連続した関数であると定義できます。
(その様に、2つの関数をx→ ±∞の点で連結して1つの関数にすることは、置換積分法などで関数の変数を変換する場合に、自然に起こり得る事です。)
この関数f(x)の、
a<0と、
b>0との
2点の間の定積分を、
不定積分F(x)を使って、
F(b)-F(a)
という値であらわすと、
その定積分は以下の様に定義できます。
先ず、
x=aの点から、x=−∞まで
f(x)を定積分して、
続けて、
x=−∞の点から、x=bの点まで、
f(x)を定積分する。
すなわち、そのように、変数xのx=aからx=bまで連結した区間の経路で関数& f(x)が積分でき、
その経路の積分範囲で定積分した値が、
F(b)-F(a)
であると定義できます。
すなわち、
x=0をまたいで積分したりせずに、
x→ ±∞の点を経由した
迂回した経路で積分した積分結果が、
F(b)-F(a)
であると解釈します。
そう解釈するならば、
F(b)-F(a)は、
定積分の値を正しくあらわしています。
このように、関数f(x)の定積分を、連結区間内からはみ出す部分がない経路で積分した値であると認識すれば、
F(b)-F(a)は、
その定積分の値を正しくあらわす式であると解釈できます。
定積分を計算する演算の際に、その定積分が可能な積分区間が、被積分関数f(x)の値が有限値であるxの点を連結した区間に限られると認識するのが良いと分かりました。
(なお、その連結区間で、不定積分F(x)は1つながりに連続な関数になっています。)
(研究課題おわり)
(積分が完全に保証される積分可能条件の外で行う例)
微分積分学の基本定理における積分可能条件(関数f(x)が積分範囲内で1つながりに連続な関数でなければならない)にあえて違反して行う以下の積分では、被積分関数f(x)がある点で連続な連続関数である場合と、その関数の1点の関数値が存在しない(あるいは0等の値になる、その点では不連続な関数である)場合とが区別されずに、その範囲を積分した不定積分が同じ1つながりに連続な関数になる。
(積分可能な例2)
以下の図の関数f(x)のグラフを考えます。
この関数は、x=0の点での極限とx=2の点での極限が存在しません。
x=0の点とx=2の点で関数は不連続であり、また、極限も存在しませんが、
-1≦x≦3
の閉区間をリーマン積分により小区間に細分した各小区間での関数の値の和が一通りに定まるので、その連続で無い点を範囲内に持つ区間で(1つながりに連続な連続関数ならば必ず積分できるという積分保証範囲の外で無理やりに)あえて積分すると積分可能です。
この関数f(x)を積分して、以下の図の不定積分の関数F(x)を求めることができます。
(原始関数を利用した不定積分の求め方)
この不定積分F(x)の求め方は、上図の関数f(x)の:
-1<x<0の区間のf(x)に対する原始関数 F(x)=0と、
0<x<2の区間のf(x)に対する原始関数 F(x)=xと、
2<x<3の区間のf(x)に対する原始関数 F(x)=C2とを求め、
それらの原始関数をY方向に平行移動して連続につなげば、以下の1つながりのグラフの不定積分F(x)が出来上がります。
この不定積分F(x)を微分して下図のグラフの関数を求めます。
x=0とx=2の点ではグラフが折れ曲がっているので微分できません。
この不定積分F(x)を微分した結果の導関数(dF(x)/dx)は、x=0とx=2で関数値が存在しないという点で、関数f(x)と異なる関数になるという特徴があります。
原始関数の定義の発想の順番は、F(x)を先に考え、次にf(x)を考えるのです。
(先ず、連結区間を定め、その連結区間内で1つながりに連続した原始関数F(x)を考え、次に、それを微分して関数f(x)が得られ、結果として得られたf(x)の原始関数がF(x)であると呼ぶのです。)
この発想の順を逆にしてf(x)に不定積分の関数F(x)を対応付ける写像変換を定義する事はできます。
上の図で得た導関数(dF(x)/dx)は、x≠0とx≠2の範囲でのみ定義されている関数です。そのグラフはf(x)とは、変数x=0とx=2の点だけが異なります。
この導関数(dF(x)/dx)のグラフを再度積分したらどうなるでしょうか。
その積分結果は、再び同じ不定積分F(x)が得られます。
(ただし、関数値f(x)が定義されていないx=0と2の点では、そのxの値の近傍までf(x)を積分して、その積分の極限値をx=0の点等での積分値に拡張する積分をしました。)
変数x=0での点とX=2での点の有無で異なる2つのグラフ、すなわちf(x)と、導関数(dF(x)/dx)を積分したら、同じ不定積分F(x)が得られました。
そのため、被積分関数f(x)に積分結果の不定積分F(x)を対応させる写像変換は、
2個以上の関数の、f(x)と(dF(x)/dx)とに1つの不定積分F(x)を対応させる、
複数対1の写像であると考えられます。
(注意)
ちなみに、微分不可能な点がある関数F(x)は真の原始関数ではありません。(真の原始関数は必ず1つながりに連続で、すべての点で微分可能な関数です。また、所定の定義域の関数f(x)では原始関数が無くても、定義域を狭くした範囲では原始関数がある事も忘れないよう注意してください。)
上の例の不定積分F(x)、
すなわち、x=0の点とx=2の点で折れ曲がって微分不可能な点を持つ関数F(x)は、
関数f(x)からx=0の点とx=2の点を除外した関数が微分の結果で得られる不定積分です。
この不定積分では原始関数より広い範囲の関数が扱え、上図のようなグラフの面積を求めることもでき実用的です。
(厳密に考える1)
ここで、厳密に考えると、
不定積分F(x)を微分すると、x≠0とx≠2の範囲でのみ関数値がある導関数(dF(x)/dx)が得られました。そのため、関数F(x)は、x≠0とx≠2の範囲でのみ定義されている導関数(dF(x)/dx)の不定積分でもあります。
一方、x=0で、f(0)=1であり、x=2で、f(2)=1である最初の関数f(x)は、不定積分F(x)の微分によっては、x=0での点とx=2での関数値が得られません。
しかし、f(x)を定積分するために利用する関数としては、この不定積分F(x)で十分です。
小平邦彦「[軽装版]解析入門Ⅰ」の182ページにも、不連続な関数f(x)の広義積分=不定積分F(x)が1つながりの連続関数で得られることが書いてあります。
また、 F(x)を微分して不連続な関数f(x)が得られる原始関数F(x)もあり得るが、それは、原始関数F(x)が微小に振動している場合という限られた場合だけです。
小平邦彦「[軽装版]解析入門Ⅰ」の126ページには、
上図の様に、普通の連続で無い点を持つ関数f(x)の不定積分F(x)につては、その連続で無い点のx=0やx=2の点では、そのxの値で微分できないと書いてあります。
すなわち、上図におけるx=0やx=2の点のように有限の値の高さに段差を持つ連続で無い点を持つ関数f(x)には、その連続で無い点で微分できる原始関数F(x)は存在しないと書いてあります。
その様に原始関数が無くても不定積分が存在することが、小平邦彦「[軽装版]解析入門Ⅰ」の182ページに書いてあります。
不定積分F(x)においては、その不定積分F(x)を微分した関数が、被積分関数のf(x)からx=0やx=2という有限個の点を除いた大部分の点で関数f(x)と一致するだけで良い事が書いてあります。
そのように、原始関数の場合は細かい注意が必要でしたが、広義積分を含めた不定積分の場合は、堂々と、不連続な関数f(x)の多くが積分可能であり不定積分F(x)を持つので、細かい注意に神経を使う必要も無くなり、積分がやり易くなりました。
(厳密な考察2から4)
下図の3つの被積分関数f(x)の不定積分F(x)は同じ関数になります。これを以下で考察します。
(厳密に考える2)上図の左上の場合
0≦x≦2の定義域でのみ定義され、その定義域内で常にf(x)=1となる関数f(x)を考えてみます。
この関数f(x)は閉区間で1つながりに連続な関数です。
この関数f(x)を積分して得た不定積分F(x)は、
0≦x≦2の閉区間の定義域で定義される、F(x)=x
という関数になります。
1つながりの連続関数であるF(x)は、その端点x=0とx=2では、片側微分係数で微分係数が定義され、x=0とx=2との点ではF'(x)の値があります。例えば以下の式の様に:
不定積分F(x)はf(x)の定義域の端のx=0で片側微分可能です。
x=0でもx=2でも、f(x)=1である関数f(x)は、不定積分の関数F(x)の片側微分によって得られます。
そのため、この不定積分F(x)は、f(x)の全ての関数値をF’(x)の結果として与える原始関数です。
(厳密に考える3)上図の右上の場合
0≦x≦2の定義域でのみ定義され、その定義域内で、
x=0で f(x)=0
0<x<2で f(x)=1
x=2で f(x)=0
となる関数f(x)を考えてみます。
その関数f(x)を積分して得た不定積分F(x)は、
0≦x≦2の定義域で定義される、F(x)=x
という関数になります。
この不定積分で得た関数F(x)は、
f(0)=1となる関数f(x)の不定積分で得た関数と同じ関数になるので、f(0)=0という情報が失われた関数である事が明らかです。
このF(x)からは、f(0)の値=0が再現不可能である事が明らかです。
F(x)は、定義域の閉区間の端点で片側微分可能で、端点x=0とx=2での微分係数=1が計算できますが、その値は、f(0)及びf(2)とは異なります。
このように、不定積分F(x)の微分によっては、x=0での点とx=2でのf(x)の値は得られません。この不定積分F(x)は、不連続な関数f(x)の全ての関数値をF’(x)の結果として与える原始関数ではありません。
このF(x)をこの例の不連続な関数f(x)の原始関数と呼ぶのは不正確ですが、このF(x)はf(x)の不定積分である事には間違いありません。
(厳密に考える4)上図の左の場合
0≦x≦2の定義域でのみ定義され、その定義域内で、
x=0で f(x)=2
0<x<2で f(x)=1
x=2で f(x)=2
となる関数f(x)を考えてみます。
その結果は、(厳密に考える3)と同じ結果になります。
(積分可能性が保証される条件とは)
上図の場合では、関数f(x)が不連続な点があっても積分できました。これは、以下の条件を満足したからです。
関数f(x)が積分可能な条件は、
関数f(x)の積分区間で、f(x)の不定積分F(x)が連続であることです。
関数f(x)を積分する区間は、不定積分F(x)が1つながりに連続な範囲の、例えば、
a≦x≦b
という区間で積分が可能です。
(この様に不連続関数f(x)にも積分可能性が保証される条件については後で説明します。)
(不連続関数f(x)の無理やり積分と、その微分の例)
関数f(x)を:
変数xが整数の点では関数値が存在せず、
変数xが整数以外の点では値が1、
である不連続関数とします。
(上図において、関数f(x)の連続で無い点である、変数x=整数での関数f(x)の極限値を、その変数xの位置での関数f(x)の値にして連続で無い点を除去すれば、関数f2(x)=1となる連続関数になります。)
この不連続関数 f(x)のグラフを積分したら、
1つながりに連続な不定積分 F(x)=xが得られます。
ここで、関数値f(x)が定義されていないx=0の点等では、そのxの値の近傍までf(x)を積分して、その積分の極限値をx=0の点等での積分値に拡張する積分をしました。
この不定積分F(x)=xを微分したら、
連続関数であるf2(x)=1が得られます。
この不定積分F(x)=xは、それを微分して得られた関数f2(x)=1の原始関数です。
上図のf(x)及びf2(x)を積分した結果の不定積分F(x)では、被積分関数が連続関数f2(x)である場合と、その連続関数のxが整数の点の関数値が存在しない(あるいは0等の値になる)不連続関数f(x)である場合と、が区別できません。
この様に、積分すると、被積分関数の連続で無い点の情報を失った不定積分F(x)が得られます。
(積分可能な例3)
(注意)
原始関数のF(x)が連続で微分可能でF'(x)=f(x)であっても、f(x)が連続関数になるとは限らないことに注意が必要です。F(x)が連続で微分可能であっても微小に振動している場合があるからです。
以下で定義する原始関数F(x)を微分して得た関数f(x)は、
F(x)の微分で作られたので、積分可能です。
(F(x)の定義)
x≠0の場合:
x=0の場合: F(0)=0,
(導関数f(x))
この原始関数F(x)はx≠0の場合も、x=0の場合も、微分可能で、
その導関数f(x)は、以下の式であらわせます。
x≠0の場合の微分:
になり、xが0に近づくと-1と1の間を振動します。
この導関数が含むcos(1/x)の関数が以下のグラフであらわす形の関数になるからです。
X=0の場合にも、F(x)は微分可能で:
というように、0になります。
このように、x=0の場合の導関数f(x)は、x=0で不連続ではありますが、f(0)=0という値を持ちます。
この導関数f(x)は、x=0で不連続ですが、x=0で関数値を持ち、積分すると原始F(x)になる、積分可能な関数です。
しかも、その積分結果の原始関数F(x)を微分すると、元の、x=0で不連続な関数f(x)が得られます。
(積分可能な例4)
上のグラフは、不連続な関数f(x)のグラフですが、無理やり積分して積分可能なグラフの例を示しています。
上の図の関数f(x)がリーマン積分可能なのは、変数xの全区間の部分区間毎です。
第1の部分区間:
-∞<x<A
第2の部分区間:
A’<x≦C
(点Aで関数は不連続であり、また、極限も存在しませんが、
-∞<x≦C
まで合わせた区間でも、関数の区間を細分した各小区間での関数の値の和が一通りに定まるので、その連続で無い点Aを範囲内に持つ区間でも積分可能です。)
(点Bでは、関数が無限大になるので積分ができません)
第3の部分:
D≦x<+∞
(注意1)
リーマン積分では、点A’から点Dまで、関数f(x)の値が無限に大きくなる点Bを範囲内に持つ区間で関数f(x)を積分することができません。
その理由は:
無限に関数値が大きくなる点Bを積分の範囲内に持つと、その点Bを中に持つxの小区間で、
細分の幅Δxがどれだけ小さな値であっても、
(1/Δx)≪f(ξ)
となる関数値f(ξ)を選ぶことができるからです。
そういう関数値f(ξ)を選んでしまうと、関数値の総和が定まらなくなってしまうからです。
(注意2)広義積分
しかし、上図の関数f(x)は、B点の左側の区間で、X=A’からx=Cまでの積分の値の、Cを無限にBに近付けた極限の有限の値を持つものとします。
また、B点の右側の区間で、X=DからX=+∞までの積分の値の、Dを無限にBに近付けた極限の有限の値を持つものとします。
「そのように左側の区間のC点及び右側の区間のD点をB点に近付けた極限での積分の値が存在するならば、
B点の左側の区間の積分値と、B点の右側の区間の積分値の和を、点Bを範囲内に持つxの区間での積分とする(広義積分)」
と言うように、関数f(x)の「積分可能性」の定義を拡大することができます。
また、グラフが積分可能な範囲は、変数を置き換える置換積分によって、変数を変え、被積分関数の形を変えると、
積分可能な範囲が変わることがあります。
例えば、
関数f(x)≡1/
は、xが-1から0未満の数までの範囲で積分可能ですが、
xが-1から0までの範囲では、x=0に近づくと被積分関数の値が無限に大きくなるので積分可能ではありません。
しかし、
新たな変数t≡-
を使って、変数tで積分する式に変換する(置換積分)と、
以下の図の様に、被積分関数が定数2に変換されます。
そのため、その場合は、 xがー1から0までの範囲に対応する、
tが-1から0までの範囲で、「積分可能」に変わります。
そのように、積分可能な変数の範囲は、変数を変換すると変わることがあります。
また、この関数f(x)に対して以下の図のグラフの不定積分F(x)を考えてみます。
(不定積分の求め方)
この不定積分の求め方は、上図の関数の部分毎に原始関数=不定積分F(x)を求め、それらの不定積分を、連続になるようにつなげば、以下のグラフのように、総体の不定積分が出来上がります。
定義域x<0の関数f(x)の原始関数の-2 と、
定義域x>0の関数f(x)の原始関数2 と
を独立にY方向に平行移動させて、x=0で連続につないで不定積分を求めます。
この不定積分F(x)は、不定積分が、被積分関数F(x)の定義域のx<0だけで定義されることになるのが気持ち悪かったので、被積分関数f(x)のx>0の範囲を勝手に定義して、その全体の不定積分を作りました。関数f(x)の部分毎に作った原始関数を、連続につないで総体の不定積分を作りました。
このグラフの不定積分F(x)を微分してみます。
この不定積分F(x)は、1つながりの連続関数であって、
また、x=0以外の点で微分するとf(x)になります。
この不定積分F(x)が1つながりに連続な変数xの範囲では、関数f(x)が積分可能です。
(その理由は、以下で、藤原松三郎の「微分積分学 第1巻」を解説して説明します)
そして、関数f(x)の定積分は、
不定積分F(x)が1つながりに連続な範囲の:
a≦x≦b
の区間では定積分でき、その定積分の値は:
F(b)-F(a)
で計算しても良いです。
関数f(x)が積分可能な条件は、f(x)の不定積分F(x)が、f(x)の積分区間において1つながりに連続である事です。
このように、積分可能の条件が広くされました。
----(補足)------
また、-1≦x<0で定義された
関数f(x)≡1/
の定積分を計算する場合に、上図の不定積分F(x)の他に以下の図の様に不定積分F(x)と、それを微分した関数f(x)を考えて、それらの定義域を、元の関数f(x)の定義域にまで縮小して考えても同じことになります。
つまり、被積分関数f(x)のx>0の範囲に接続する勝手な関数を別の関数に変えて、その全体の不定積分を作りました。関数f(x)の全体の定義域の部分の定義域毎の原始関数を、連続になるようにつないで総体の不定積分を作りました。
この関数F(x)は、x=0で連続な1つながりな連続関数です。
この関数F(x)を微分すると以下の関数f(x)になる。
そのため、F(x)は、そのf(x)の不定積分です。
この不定積分F(x)の定義域を、
x≦0
にすれば良い。
ここで、x<0で定義される被積分関数f(x)に、x>0で定義される勝手な被積分関数f(x)を加えて、被積分関数f(x)を、その定義域を広げた異なる関数に変えて、その全体の不定積分F(x)を作りました。そして、最終的に、その不定積分の定義域は削除するので、X>0の定義域の不定積分は、気休めに加えたものにすぎません。
ただし、いずれの作り方で作るにしても、不定積分F(x)の定義域はx≦0にでき、被積分関数f(x)の定義域はx<0ですので、不定積分F(x)の定義域の方が被積分関数f(x)の定義域よりも広く作れました。
----補足おわり--------
これらの事については、数学者の藤原松三郎の「微分積分学 第1巻」が、
連結区間a≦x≦b内で定義される関数f(x)が、その連結区間内に有限個の連続で無い点を持つ関数f(x)である場合に、
その区間a≦x≦bでのf(x)の積分を広義積分と呼び、
関数f(x)の不定積分F(x)が求められて、
関数f(x)の積分範囲
a≦x≦b
内で不定積分F(x)が(端点では片側連続である)1つながりに連続な関数ならば、
(その積分範囲内にF(x)が微分不可能な点、それは被積分関数f(x)が連続で無い点、があっても良い)、
(1)それは、不連続関数f(x)が積分可能である証拠であり、
(2)以下の計算で定積分を計算して良い事が書いてあります。
F(b)-F(a)
よって、
不連続な関数f(x)に対して、
その定義域を、関数f(x)の連続で無い点を除外した連結区間に分割し、
それら各連結区間毎に原始関数を計算し、
得られた各原始関数を連続につないで不定積分を構成します。
その1つながりに連続な不定積分を使って上の式で定積分を計算して良いのです。
また、小寺平治・著「はじめての微分積分15講」(2,200円)の103ページにも、このことが書いてあります。
小平邦彦「[軽装版]解析入門Ⅰ」の182ページにも、このことが書いてあります。
(複合区間を定義域にする誤った原始関数の差で計算するから間違えるのであって、不定積分(必ず一つながりな連続関数になる)の差で定積分を計算するならば、間違いは起きません。不定積分(いつも一つながりな連続関数)の差で定積分を求めたと書く答案が一番正しい答案だと思います。)
《(外部リンク)置換積分等の積分の計算に潜んでいる広義積分》
《(外部リンク)変な積分》
微分積分学は、微分可能な関数と積分可能な関数(その関数の変数xの範囲の定義域)を定義して、その種の関数の間で微分したり積分をします。「微分可能」と「積分可能」という制限条件を定め、その制限条件を満足する関数を扱うのが微分積分学だと認識することがとても大切です。
しかし、この一番大切な概念を高校2年には教えない。高校3年に至っても「積分可能」の概念を教えていないようです。
しかも、1997年からは、日本の高校の数学IIで面積が無定義に用いられという、数学センスを否定する蛮行が行なわれた。そして、関数f(x)のグラフとx軸で囲まれる領域の面積を,x方向で微分するともとの関数f(x)になり、面積の微分がf(x)となるという本末転倒なことを教えるようになった。
現在の高等学校の教科書は,積分の概念の説明を回避している。
数学者の吉田洋ーが以下のようになげいています。
“論証"・論証"とやかましくいっておきながら,微積のところへ来ると,とたんにいいかげんな議論でごまかしている。一ーまた高校ではごまかさざるを得ないだろう。高校数学の目的は生徒のあたまを混乱させることにあるのだろうか。
このようなデタラメな教育では、高校生に微分積分が分からないのも無理無いと考えます。
注意 5.3 1969年の日本書院の高校の教科書の数学IIIで, 定積分は次のように定義されている.
関数 y = f(x) は閉区間 [a, b] で連続とする.
(関数が不連続な場合への積分の定義の拡大を排除していないので、定義にごまかしが無い)
この区間を図のように (n-1) 個の点
x1, x2, … , xn-1
で n 個の小区間
[a,x1], [x1,x2], … , [xn-1, b]
に分ける.それら小区間内にそれぞれ任意の点
t1, t2, … , tn …①
をとって,和
を作る.ただし、a=x0,b=xnとする。
すべての小区間の長さが,いずれも 0 に近づくように n を限りなく大きくするとき, ①の点の位置のとり方にかかわらず, 和Snは一定の極限値に近づくことが知られている. この極限値を,関数 f(x) の区間 [a, b] における定積分といい
で表す. ■
この定義は高校生のための定積分の定義として優れている. リーマン積分の理論と断絶していない。
大学において、そこに開かれている. 「収束」の意味,区間和の上限,下限などを学習し,
連続関数なら、Snが収束することと、積分可能であること、
をつかんだら、
その段階で,高校での定義を再認識することができる.
高校教科書はこのようでなければならない.
《下図に各種の関数の集合の包含関係をまとめた》
リンク:
高校数学の目次
新型コロナウイルス感染対策


