逆関数や合成関数の概念
(ページ内リンク先)
▽はじめに
▽関数の定義
▽(外部リンク)連続関数の正しい定義
▽微分積分を使いものにする言葉
▽「区間」という用語の意味
▽(外部リンク)原始関数とは何か
▽逆関数
▽合成関数
▽逆関数定理
▽陰関数
▽値域に虚数を含む関数g(x)の逆関数
(はじめに)
高校1年に2次関数を学びましたが、
高校2年になると、3次関数や4次関数や分数関数を学び、
三角関数も学びました。
そして、指数関数や対数関数も学びます。
高校2年では、このように多くの関数を学びますが、
以下の関数の概念も覚えましょう。
(大学生向けの参考書「微分積分学入門」(著者:横田 壽)の18ページ近くに、関数の定義が書いてあります。)
(大学1年生向けの参考書の「やさしく学べる微分積分」(石村園子) ¥2000円 も、間違いが無く、高校2年生が初めて関数及び微分積分を勉強するのにも、適切な参考書だと思います)
《1.1 関数の定義(definition of function)》
2 つの集合の間の関係を決める規則を関数といいます.ここでは,実数の集合を考えます.
Rを実数全体の集合とします.
ある実数の集合D に属する各数x に対して,実数y が1 つ定まるような規則f を、
D からR への1 価関数(single-valued function),または、1変数(の1価)関数(←「やさしく学べる微分積分」2ページ)、または単に関数といいます.
「微分積分学入門」(著者:横田 壽)(又は、「やさしく学べる微分積分」(石村園子))は、とても明瞭(かつ、正確)に数学の関数・極限・微分・積分を説明してくれていますので、
高校2年生でも、関数や微分・積分がよくわかるようになると思います。
《関数値が複素数の関数もある》
関数の定義によると、実数の変数xに対して、複素数のyの値の関数値f(x)を与える関係f(x)も関数です。
関数f(x)=x2というように、数xを使った演算式によって値を求める演算が関数であるというように感じていた人も多いと思います。その様に変数xの式によって定義されている関数は、xが複素数であっても、その演算結果が定義され、その演算が可能なあらゆる数をxとして使って良いです。そのxの値に対してf(x)という式の演算の結果の値を関数値y=f(x)として対応付ける関数です。
上で定義した関数の定義では、変数xの演算が明確な式で表せ無くても、変数xに対してf(x)の値を対応付ける関係さえ定めてあれば、それも関数であると定義しています。そのようにして、関数の概念を広く定義しています。
そのように関数の概念を広くした結果、変数xに対応する関数値を定義する変数xの集合の範囲(変数xを想定する範囲)を明確化する(変数xの「定義域」を指定する)必要が生まれました。
それにより、有理数の変数xに対してのみ、実数のyの値の関数値g(x)を与える関係g(x)も関数であると定義できます。その関数の変数xの定義域は「有理数」であって、その変数xの定義域には無理数は含まれていません。
また、変数xを実数に限り、変数xが実数以外の複素数の場合については考えない関数も定義できます。(そういう関数の方が、普通に考えられている関数のイメージに近いと思います。)
《変数zの定義域が複素数の関数もある》
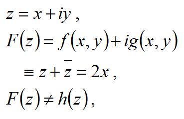
変数z=x+iy,
という複素数zに対して、複素数:
F(z)=f(x,y)+ig(x,y),
という複素数F(z)を対応させる関数もあります。
この関数F(z)は、実数の2変数関数f(x,y)とg(x,y)を使って表されますが、
f(x,y)とg(x,y)の式の組み合わせによっては、以下の例のように、zという1つの文字で表された演算式 h(z) の形では関数値を表せない(h(z)≠f(x,y)+ig(x,y))複素数変数の関数もあります。

《定義域が異なる関数は、異なる関数》
また、関数は変数xの定義域の各変数値に対して関数値f(x)を対応付けさせる関係の事ですので、f(x)をxで演算する演算が同じであっても、定義域が異なれば異なる関数である事になり、関数が変数xの定義域の数だけ複数の関数が作れる事になります。
【連続関数の正しい定義】
特に、微分積分の命綱を握っているのが連続関数の概念です。
その連続関数の高校数学での定義が間違っているので注意が必要です。
【原始関数とは何か】
後に積分を学ぶ際に、原始関数を学びますが、その関数の定義があいまいで不正確なので要注意です。
《(1)逆関数》
逆関数という関数の概念があります。
「微分積分学入門」(著者:横田 壽)の21ページ近くに、逆関数の定義があります。
逆関数(inverse functions)
関数f の定義域D(f) 内の任意の2 数x1, x2 に対して,
x1 ≠ x2 ⇒ f(x1) ≠ f(x2)
が成り立つとき, f は1 対1 の関数(one-to-one function) であるといいます.
(f は(写像として)単射である (injective) とも言います。)
ここで、
x1 ≠ x2 ⇒ f(x1) ≠ f(x2) とは,
x1 とx2 が異なるならば, f(x1) とf(x2) は異なることを意味しています.
この場合,値域R(f) の各数y に対して, y = f(x) であるようなx を1 つ定めるような規則が考えられます(なぜでしょうか).
これをf の逆関数(inverse function)とよび,
f には逆関数が存在するといいます.

y=f(x)
という関数があれば、
関数の値が減少から増加に転ずる点がある場合は、
その点で関数を2つに分割する必要があります。
そうしないと、
その点の前後で複数のxに同じyが対応することになってしまうからです。
複数のxに同じyが対応してしまうと、その関数には、以下で説明する逆関数が作れなくなってしまうので都合が悪いからです。
そのようにて、1対1対応の関数として定義した関数には「逆関数」が存在します。
x=f -1(y)
という逆関数があります。
逆関数は、変数xとyの立場を入れ替えることで作れます。
その逆関数の形を以下の式3のグラフで描くことができます。
式3が逆関数の形をあらわしています。上図のように、逆関数のグラフは、直線y=xに関して、元の関数f(x)のグラフに対して対称なグラフになります。
「ある関数 f に対して逆関数 f-1 が存在する」という表現はくせものです。
なぜなら、ある関数 y=f(x) のグラフがあれば、そのグラフのxとyを入れ替えたグラフを考えて、その入れ替えたグラフから、以下のようにして、逆関数 f-1 のグラフを考え出すことができるからです。
(1)逆関数 f-1 のグラフが1つの変数に対して2つの値を持つ場合には、グラフを分割して、分割された逆関数 f-1 のグラフでは、1つの変数に対して1つの値しか持たないようにする。そして、その元の関数 y=f(x) のグラフもそれに対応して分割する。
(2) そうすれば、分割された元の関数 y=f(x) が、分割された逆関数 f-1 のグラフに対応する逆関数 f-1 を持つ。
(3)そうすれば、どの関数も逆関数を持つことにできるのではないか?
という疑問が生まれるうさんくささがあるからです。
しかし、以下の事例のように、グラフを分割する操作では対応し切れず、本当に逆関数が存在し得ない場合もあります。
下の図のグラフのように、xの値が少し変わっても t の値が同じ値になる関数の部分では、
複数のxに1つの t が対応します。
その関数の部分には逆関数が存在出来ません。
無理に逆関数のグラフを作ろうとすると、そのグラフは下の図のように、垂直に立つグラフになってしまい、1つの変数 t に対して複数の値が与えられることになってしまうからです。
1つの変数に1つの値を対応させる関数のグラフにすると下の図のように、形が変わってしまいます。
この場合には、絶対に逆関数が存在し得ないグラフの部分(関数の一部分)がありました。
関数f(x)が1つながりに連続な関数であって、単調増加な関数である場合には、その逆関数が存在します。
【関数f(x)が単調増加とは】
x1<x2なならば、f(x1)<f(x2)となる関数f(x)を単調増加な関数と呼ぶ。
------単調増加の定義おわり-------------
一方で、以下のグラフの不連続関数f(x)であっても逆関数を持ちます。
以下のグラフの不連続な点を持つ関数f(x)も1つの一体の関数として逆関数を持ちます。
次に、以下のグラフA(E)BCDで表す不連続な点を持つ関数f(x)は、所定の点で2つの関数に分割することで、分割されたそれぞれの関数が逆関数を持つようにできます。
f(x)の定義域を限定することで関数が逆関数を持つようにする場合。その定義域を限定した関数にする、元の関数f(x)を分割する点は、点Eで関数f(x)を分割しても良いし点Cで関数f(x)を分割しても良いです。
《(2)合成関数》
合成関数という関数の概念があります。
「微分積分学入門」(著者:横田 壽)の21ページ近くに、合成関数の定義が書いてあります。
合成関数(composite functions)
関数どうしのつなぎ方として,
合成法則(composition) とよばれる方法について考えます.
まず, f(x) とg(x)2 つの関数を用意します.
次に任意のx に対して規則g を用いて1 つの実数g(x) を取り出します.
もしこのg(x) が関数f(x) の定義域に入っていれば,
規則f を用いて1 つの実数f(g(x)) を取り出すことができるでしょう.
ところで,この実数f(g(x)) は何なのでしょうか.
もしg(x) の値域がf(x) の定義域に含まれていれば,
g(x) の定義域内の各数x に対して, f(g(x)) を作ることができます.
これはg(x) の定義域内の各数x に対し,ただ1 つの実数f(g(x)) を定める規則と考えられます.
よってこの規則をf とg の合成関数(composite function) といい,
f ◦ g で表わすと(f ◦ g)(x) = f(g(x)) となります.
以下に合成関数の例をあげます。
上の式はxの関数hを合成関数の形で表現しました。
関数hは、gというパラメータ関数を使って、式1と式2とであらわした、結局は式3の形のxの関数です。
hは、式1の形と式3の形との2つの形の式であらわすことができます。
この関数hは、以下の形の合成関数の形であらわすこともできます。
式3の形の関数hは、sというパラメータ関数を使って、式4と式5であらわすことができます。
hは、式4の形でもあらわせます。
パラメータ関数を自由に選ぶことで式3のxの関数hは、式1や式4の形やその他の形の無限に多くの形であらわすことができます。
【逆関数定理】
x1 ≠ x2 ⇒ f(x1) ≠ f(x2)
が成り立ち, f が1 対1 の関数(one-to-one function) であるとき、以下の図の1対1の写像の関係があります。
1対1の写像をする関数 f には逆関数が定義できます。
そこで、関数 f で1対1の写像をした後で、逆関数で定義される1対1の写像をする、合成関数の写像をすれば、以下の図の様に元に戻ります。
また、逆写像の変数yの定義域の変数yに対して逆写像で1対1の写像をした後で、関数 f で定義される1対1の写像をする、合成関数の写像をすれば、以下の図の様に元に戻ります。
これは、逆関数定理と呼ばれています。
(陰関数の定義)
「微分積分学入門」(著者:横田 壽)の192ページに、陰関数の定義が書いてあります。
6.8 陰関数(implicit functions)
方程式3x+2y +1 = 0 から,
x の関数としてのy、
つまりy = −(1 + 3x)/2 を考えることができます.
一般に2 変数関数 f(x, y) に対して,1 変数関数 y = g(x) が常に f(x, g(x)) = 0 を満たすとき,
y = g(x) を、
方程式 f(x, y) = 0 から定まる陰関数(implicit function) といいます.
方程式 f(x, y) = 0 から定まる陰関数 y = g(x) を求めることは, f(x, y) = 0 をy について解くことと同じです.
また、高校生向けサイトでも:「陰関数定理」の章で:
「F(x,y)=0とする。実数のある開区間で定義された連続関数 y=φ(x)であって、 F(x,φ(x))=0を満足するφ(x)が存在する場合に、
φ(x)を、方程式F(x,y)=0が定める陰関数と呼ぶ」
と説明しています。
(円の方程式の陰関数の例)
円の方程式は、
f(x, y) ≡ x2+y2ー1=0 (1)
ですが、
この方程式から求める、
f(x, g(x)) = 0 を満たす1 変数関数 y = g(x) が、
この円の方程式から定まる陰関数です。露わな形の関数g(x)を使ってy=g(x)という式であらわせた場合のg(x)は「陽関数」とも言います。y=g(x)が有りそうだがその関数g(x)の式の形が分からない段階では、その分からない式を「陰関数」と呼び、g(x)の式が露わに分かったら、その式g(x)を「陽関数」と呼ぶのが良いと考えます。
円の方程式自体は、方程式なのであって、それ自体は陰関数とは呼ばないのです。「陰関数表現である」と言います。
《虚数を値域に持つ関数g(x)》
1 変数関数 y = g(x) の値域に、
虚数のyの値を持つ、以下の図の様な、(円の方程式(1)において、xの二乗>1の場合の虚数の値のg(x)を値域に持つ)関数が作れます。
この式2aと式2bで定めた1変数関数
y=g(x)
は、常に f(x, g(x)) = 0 を満たすので、円の方程式(1)から定まる陰関数です。ただし、ここでは、g(x)の式の形が露わに分かったので、もう、このg(x)を陽関数と呼んだ方が良いとも思います。
この関数g(x)の変数xの定義域は、マイナス無限大からプラス無限大までの全ての実数であり、
値域は0から1までと、k≧0で範囲が指定された虚数 ik です。
《値域に虚数を含む関数g(x)の逆関数》
上記の関数g(x)は、以上の定義域で定義された関数ですが、xの異なる値に対して同じyの値が対応するので、この関数g(x)の逆関数は無い。しかし、関数g(x)の変数xの定義域をx≧0に限定すれば、以下の逆関数があります。
元の関数の定義域を限定する g(x), (x≧0)

この逆関数の定義域はg(x)の値域であり、逆関数の定義域の実数は0から1までしか無く、それ以外の定義域は純虚数です。そして、逆関数の値域はg(x)の定義域であり、0以上の実数です。
なお、円の方程式(1)を満たす陰関数の式は、上の式だけでは無く、以下の式2c、2dも円の方程式(1)を満たします。
これらの式2cと2dを使って、円の方程式(1)を満たす他の陰関数も作れます。
また、式2aと式2cを一緒に使った関数を作って、変数xの1つの値に対して関数値g(x)が2つある2価関数(円全体を表す式)を作ることもできます。
また、関数値を虚数だけにした、式2bと式2cを一緒に使った関数を作って、変数xの1つの値に対して関数値g(x)が2つある虚数の関数値を持つ双曲線の形をした2価関数を作ることもできます。
(補足)
方程式3x+2y +1 = 0 から,
変数変換して、
変数t≡3x+2y の関数としてのy、
すなわち、t=-1を考えることができます。
この方程式は、特定のtの値に関するyの値が無限に多くあることをあらわす直線の式です。
この直線の式は、ty-座標平面において、傾きが無限大の直線をあらわしています。
この直線の式をあらわす関数は、もはや、tの1価関数ではありません。
なぜなら、t=-1に対する、yの値が2個以上あるからです。
このように、1価関数であるか否かということは、観察する座標系をどう定めるかによって変わる関係なのです。
また、関数とは、座標系を変える事によって変わる、座標系の「変数」を与える座標軸の座標値と、「関数値」を与える座標軸の座標値との関係なのです。
リンク:
高校数学の目次
▽はじめに
▽関数の定義
▽(外部リンク)連続関数の正しい定義
▽微分積分を使いものにする言葉
▽「区間」という用語の意味
▽(外部リンク)原始関数とは何か
▽逆関数
▽合成関数
▽逆関数定理
▽陰関数
▽値域に虚数を含む関数g(x)の逆関数
(はじめに)
高校1年に2次関数を学びましたが、
高校2年になると、3次関数や4次関数や分数関数を学び、
三角関数も学びました。
そして、指数関数や対数関数も学びます。
高校2年では、このように多くの関数を学びますが、
以下の関数の概念も覚えましょう。
(大学生向けの参考書「微分積分学入門」(著者:横田 壽)の18ページ近くに、関数の定義が書いてあります。)
(大学1年生向けの参考書の「やさしく学べる微分積分」(石村園子) ¥2000円 も、間違いが無く、高校2年生が初めて関数及び微分積分を勉強するのにも、適切な参考書だと思います)
《1.1 関数の定義(definition of function)》
2 つの集合の間の関係を決める規則を関数といいます.ここでは,実数の集合を考えます.
Rを実数全体の集合とします.
ある実数の集合D に属する各数x に対して,実数y が1 つ定まるような規則f を、
D からR への1 価関数(single-valued function),または、1変数(の1価)関数(←「やさしく学べる微分積分」2ページ)、または単に関数といいます.
「微分積分学入門」(著者:横田 壽)(又は、「やさしく学べる微分積分」(石村園子))は、とても明瞭(かつ、正確)に数学の関数・極限・微分・積分を説明してくれていますので、
高校2年生でも、関数や微分・積分がよくわかるようになると思います。
《関数値が複素数の関数もある》
関数の定義によると、実数の変数xに対して、複素数のyの値の関数値f(x)を与える関係f(x)も関数です。
関数f(x)=x2というように、数xを使った演算式によって値を求める演算が関数であるというように感じていた人も多いと思います。その様に変数xの式によって定義されている関数は、xが複素数であっても、その演算結果が定義され、その演算が可能なあらゆる数をxとして使って良いです。そのxの値に対してf(x)という式の演算の結果の値を関数値y=f(x)として対応付ける関数です。
上で定義した関数の定義では、変数xの演算が明確な式で表せ無くても、変数xに対してf(x)の値を対応付ける関係さえ定めてあれば、それも関数であると定義しています。そのようにして、関数の概念を広く定義しています。
そのように関数の概念を広くした結果、変数xに対応する関数値を定義する変数xの集合の範囲(変数xを想定する範囲)を明確化する(変数xの「定義域」を指定する)必要が生まれました。
それにより、有理数の変数xに対してのみ、実数のyの値の関数値g(x)を与える関係g(x)も関数であると定義できます。その関数の変数xの定義域は「有理数」であって、その変数xの定義域には無理数は含まれていません。
また、変数xを実数に限り、変数xが実数以外の複素数の場合については考えない関数も定義できます。(そういう関数の方が、普通に考えられている関数のイメージに近いと思います。)
《変数zの定義域が複素数の関数もある》
変数z=x+iy,
という複素数zに対して、複素数:
F(z)=f(x,y)+ig(x,y),
という複素数F(z)を対応させる関数もあります。
この関数F(z)は、実数の2変数関数f(x,y)とg(x,y)を使って表されますが、
f(x,y)とg(x,y)の式の組み合わせによっては、以下の例のように、zという1つの文字で表された演算式 h(z) の形では関数値を表せない(h(z)≠f(x,y)+ig(x,y))複素数変数の関数もあります。
《定義域が異なる関数は、異なる関数》
また、関数は変数xの定義域の各変数値に対して関数値f(x)を対応付けさせる関係の事ですので、f(x)をxで演算する演算が同じであっても、定義域が異なれば異なる関数である事になり、関数が変数xの定義域の数だけ複数の関数が作れる事になります。
【連続関数の正しい定義】
特に、微分積分の命綱を握っているのが連続関数の概念です。
その連続関数の高校数学での定義が間違っているので注意が必要です。
【原始関数とは何か】
後に積分を学ぶ際に、原始関数を学びますが、その関数の定義があいまいで不正確なので要注意です。
《(1)逆関数》
逆関数という関数の概念があります。
「微分積分学入門」(著者:横田 壽)の21ページ近くに、逆関数の定義があります。
逆関数(inverse functions)
関数f の定義域D(f) 内の任意の2 数x1, x2 に対して,
x1 ≠ x2 ⇒ f(x1) ≠ f(x2)
が成り立つとき, f は1 対1 の関数(one-to-one function) であるといいます.
(f は(写像として)単射である (injective) とも言います。)
ここで、
x1 ≠ x2 ⇒ f(x1) ≠ f(x2) とは,
x1 とx2 が異なるならば, f(x1) とf(x2) は異なることを意味しています.
この場合,値域R(f) の各数y に対して, y = f(x) であるようなx を1 つ定めるような規則が考えられます(なぜでしょうか).
これをf の逆関数(inverse function)とよび,
f には逆関数が存在するといいます.
y=f(x)
という関数があれば、
関数の値が減少から増加に転ずる点がある場合は、
その点で関数を2つに分割する必要があります。
そうしないと、
その点の前後で複数のxに同じyが対応することになってしまうからです。
複数のxに同じyが対応してしまうと、その関数には、以下で説明する逆関数が作れなくなってしまうので都合が悪いからです。
そのようにて、1対1対応の関数として定義した関数には「逆関数」が存在します。
x=f -1(y)
という逆関数があります。
逆関数は、変数xとyの立場を入れ替えることで作れます。
その逆関数の形を以下の式3のグラフで描くことができます。
式3が逆関数の形をあらわしています。上図のように、逆関数のグラフは、直線y=xに関して、元の関数f(x)のグラフに対して対称なグラフになります。
「ある関数 f に対して逆関数 f-1 が存在する」という表現はくせものです。
なぜなら、ある関数 y=f(x) のグラフがあれば、そのグラフのxとyを入れ替えたグラフを考えて、その入れ替えたグラフから、以下のようにして、逆関数 f-1 のグラフを考え出すことができるからです。
(1)逆関数 f-1 のグラフが1つの変数に対して2つの値を持つ場合には、グラフを分割して、分割された逆関数 f-1 のグラフでは、1つの変数に対して1つの値しか持たないようにする。そして、その元の関数 y=f(x) のグラフもそれに対応して分割する。
(2) そうすれば、分割された元の関数 y=f(x) が、分割された逆関数 f-1 のグラフに対応する逆関数 f-1 を持つ。
(3)そうすれば、どの関数も逆関数を持つことにできるのではないか?
という疑問が生まれるうさんくささがあるからです。
しかし、以下の事例のように、グラフを分割する操作では対応し切れず、本当に逆関数が存在し得ない場合もあります。
下の図のグラフのように、xの値が少し変わっても t の値が同じ値になる関数の部分では、
複数のxに1つの t が対応します。
その関数の部分には逆関数が存在出来ません。
無理に逆関数のグラフを作ろうとすると、そのグラフは下の図のように、垂直に立つグラフになってしまい、1つの変数 t に対して複数の値が与えられることになってしまうからです。
1つの変数に1つの値を対応させる関数のグラフにすると下の図のように、形が変わってしまいます。
この場合には、絶対に逆関数が存在し得ないグラフの部分(関数の一部分)がありました。
関数f(x)が1つながりに連続な関数であって、単調増加な関数である場合には、その逆関数が存在します。
【関数f(x)が単調増加とは】
x1<x2なならば、f(x1)<f(x2)となる関数f(x)を単調増加な関数と呼ぶ。
------単調増加の定義おわり-------------
一方で、以下のグラフの不連続関数f(x)であっても逆関数を持ちます。
以下のグラフの不連続な点を持つ関数f(x)も1つの一体の関数として逆関数を持ちます。
次に、以下のグラフA(E)BCDで表す不連続な点を持つ関数f(x)は、所定の点で2つの関数に分割することで、分割されたそれぞれの関数が逆関数を持つようにできます。
f(x)の定義域を限定することで関数が逆関数を持つようにする場合。その定義域を限定した関数にする、元の関数f(x)を分割する点は、点Eで関数f(x)を分割しても良いし点Cで関数f(x)を分割しても良いです。
《(2)合成関数》
合成関数という関数の概念があります。
「微分積分学入門」(著者:横田 壽)の21ページ近くに、合成関数の定義が書いてあります。
合成関数(composite functions)
関数どうしのつなぎ方として,
合成法則(composition) とよばれる方法について考えます.
まず, f(x) とg(x)2 つの関数を用意します.
次に任意のx に対して規則g を用いて1 つの実数g(x) を取り出します.
もしこのg(x) が関数f(x) の定義域に入っていれば,
規則f を用いて1 つの実数f(g(x)) を取り出すことができるでしょう.
ところで,この実数f(g(x)) は何なのでしょうか.
もしg(x) の値域がf(x) の定義域に含まれていれば,
g(x) の定義域内の各数x に対して, f(g(x)) を作ることができます.
これはg(x) の定義域内の各数x に対し,ただ1 つの実数f(g(x)) を定める規則と考えられます.
よってこの規則をf とg の合成関数(composite function) といい,
f ◦ g で表わすと(f ◦ g)(x) = f(g(x)) となります.
以下に合成関数の例をあげます。
上の式はxの関数hを合成関数の形で表現しました。
関数hは、gというパラメータ関数を使って、式1と式2とであらわした、結局は式3の形のxの関数です。
hは、式1の形と式3の形との2つの形の式であらわすことができます。
この関数hは、以下の形の合成関数の形であらわすこともできます。
式3の形の関数hは、sというパラメータ関数を使って、式4と式5であらわすことができます。
hは、式4の形でもあらわせます。
パラメータ関数を自由に選ぶことで式3のxの関数hは、式1や式4の形やその他の形の無限に多くの形であらわすことができます。
【逆関数定理】
x1 ≠ x2 ⇒ f(x1) ≠ f(x2)
が成り立ち, f が1 対1 の関数(one-to-one function) であるとき、以下の図の1対1の写像の関係があります。
1対1の写像をする関数 f には逆関数が定義できます。
そこで、関数 f で1対1の写像をした後で、逆関数で定義される1対1の写像をする、合成関数の写像をすれば、以下の図の様に元に戻ります。
また、逆写像の変数yの定義域の変数yに対して逆写像で1対1の写像をした後で、関数 f で定義される1対1の写像をする、合成関数の写像をすれば、以下の図の様に元に戻ります。
これは、逆関数定理と呼ばれています。
(陰関数の定義)
「微分積分学入門」(著者:横田 壽)の192ページに、陰関数の定義が書いてあります。
6.8 陰関数(implicit functions)
方程式3x+2y +1 = 0 から,
x の関数としてのy、
つまりy = −(1 + 3x)/2 を考えることができます.
一般に2 変数関数 f(x, y) に対して,1 変数関数 y = g(x) が常に f(x, g(x)) = 0 を満たすとき,
y = g(x) を、
方程式 f(x, y) = 0 から定まる陰関数(implicit function) といいます.
方程式 f(x, y) = 0 から定まる陰関数 y = g(x) を求めることは, f(x, y) = 0 をy について解くことと同じです.
また、高校生向けサイトでも:「陰関数定理」の章で:
「F(x,y)=0とする。実数のある開区間で定義された連続関数 y=φ(x)であって、 F(x,φ(x))=0を満足するφ(x)が存在する場合に、
φ(x)を、方程式F(x,y)=0が定める陰関数と呼ぶ」
と説明しています。
(円の方程式の陰関数の例)
円の方程式は、
f(x, y) ≡ x2+y2ー1=0 (1)
ですが、
この方程式から求める、
f(x, g(x)) = 0 を満たす1 変数関数 y = g(x) が、
この円の方程式から定まる陰関数です。露わな形の関数g(x)を使ってy=g(x)という式であらわせた場合のg(x)は「陽関数」とも言います。y=g(x)が有りそうだがその関数g(x)の式の形が分からない段階では、その分からない式を「陰関数」と呼び、g(x)の式が露わに分かったら、その式g(x)を「陽関数」と呼ぶのが良いと考えます。
円の方程式自体は、方程式なのであって、それ自体は陰関数とは呼ばないのです。「陰関数表現である」と言います。
《虚数を値域に持つ関数g(x)》
1 変数関数 y = g(x) の値域に、
虚数のyの値を持つ、以下の図の様な、(円の方程式(1)において、xの二乗>1の場合の虚数の値のg(x)を値域に持つ)関数が作れます。
y=g(x)
は、常に f(x, g(x)) = 0 を満たすので、円の方程式(1)から定まる陰関数です。ただし、ここでは、g(x)の式の形が露わに分かったので、もう、このg(x)を陽関数と呼んだ方が良いとも思います。
この関数g(x)の変数xの定義域は、マイナス無限大からプラス無限大までの全ての実数であり、
値域は0から1までと、k≧0で範囲が指定された虚数 ik です。
《値域に虚数を含む関数g(x)の逆関数》
上記の関数g(x)は、以上の定義域で定義された関数ですが、xの異なる値に対して同じyの値が対応するので、この関数g(x)の逆関数は無い。しかし、関数g(x)の変数xの定義域をx≧0に限定すれば、以下の逆関数があります。
元の関数の定義域を限定する g(x), (x≧0)
この逆関数の定義域はg(x)の値域であり、逆関数の定義域の実数は0から1までしか無く、それ以外の定義域は純虚数です。そして、逆関数の値域はg(x)の定義域であり、0以上の実数です。
なお、円の方程式(1)を満たす陰関数の式は、上の式だけでは無く、以下の式2c、2dも円の方程式(1)を満たします。
これらの式2cと2dを使って、円の方程式(1)を満たす他の陰関数も作れます。
また、式2aと式2cを一緒に使った関数を作って、変数xの1つの値に対して関数値g(x)が2つある2価関数(円全体を表す式)を作ることもできます。
また、関数値を虚数だけにした、式2bと式2cを一緒に使った関数を作って、変数xの1つの値に対して関数値g(x)が2つある虚数の関数値を持つ双曲線の形をした2価関数を作ることもできます。
(補足)
方程式3x+2y +1 = 0 から,
変数変換して、
変数t≡3x+2y の関数としてのy、
すなわち、t=-1を考えることができます。
この方程式は、特定のtの値に関するyの値が無限に多くあることをあらわす直線の式です。
この直線の式は、ty-座標平面において、傾きが無限大の直線をあらわしています。
この直線の式をあらわす関数は、もはや、tの1価関数ではありません。
なぜなら、t=-1に対する、yの値が2個以上あるからです。
このように、1価関数であるか否かということは、観察する座標系をどう定めるかによって変わる関係なのです。
また、関数とは、座標系を変える事によって変わる、座標系の「変数」を与える座標軸の座標値と、「関数値」を与える座標軸の座標値との関係なのです。
リンク:
高校数学の目次
